Double, Double Toil and Trouble: Tungsten Burns and Helium Bubbles
New models reveal the impact of competing processes on helium bubble formation in plasma-exposed tungsten.
New models reveal the impact of competing processes on helium bubble formation in plasma-exposed tungsten.
The reversed field pinch’s helical state reveals nonlinear physics of plasma self-organization.
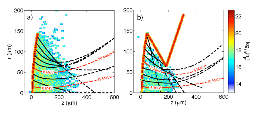
Focusing of laser accelerated proton beams advances with a novel cone target design.
Studies of different fusion reactions have shown unexpected plasma behavior in inertial fusion implosions.
Recent experiments have confirmed the great potential of a novel plasma-material interface concept.
Recent experiments on Alcator C-Mod have investigated an improved confinement regime, called “I-Mode”, expanding its operational range and pointing toward its applicability on future devices.
Real time steering of microwave beams is used to suppress deleterious modes on DIII-D.
Ultra high intensity magnetic fields open new opportunities in high energy density plasma science.
A new type of stellarator could be a promising candidate for future fusion reactors.
New findings indicate that ionized plasmas like those in neon lights and plasma TVs can be used to sterilize water, making it antimicrobial for as long as a week after treatment.
New research advances in the modeling of the critical “pedestal” region of tokamak plasmas.