DOE-BES Chemical Sciences Highlights of Progress in Separations Sciences 1980-1999
DOE-BES Chemical Sciences
Highlights of Progress in Separations Sciences
1980-1999
Edited by Charles H. Byers
IsoPro International Inc.
2140 Santa Cruz Ave, #C304 Menlo Park, CA 94025
DOE Chemical Sciences
Highlights of Progress in Separations Sciences
Introduction
The singular wartime success of the Manhattan project was, in large part, due to the fact that project chemists, led by Glenn Seaborg, leveraged their understanding of the chemistry of plutonium to industrial scale processes for isolating this man-made element from irradiated fuel. Thus began the intense interest of the Department of Energy and its predecessor agencies in the science that underlies separation processes. The evolving mission of the Department has now come full-circle as the scientific community is enlisted to face the legacy of the Manhattan Project and the Cold War era and to render the accumulated wastes manageable. Knowledge of molecular level processes is required to characterize and treat these enormously complex mixtures and to understand and predict the destiny of associated contaminants in the environment.
Though the Cold War Legacy is the most obvious of the Department missions the economic importance of separation science and technology is huge. For example, in 1979, distillation processes in the petroleum, chemical, and natural gas industries consumed the equivalent of 315million barrels of oil. It was further estimated in the National Academy of Sciences Report cited below that separations processes account for more than 5 percent of total national energy consumption. Separations are essential to virtually all manufacturing operations in the processing industries and are also key to many analytical procedures. Continuing research in this area is of the utmost importance to the national interest. The purpose of the separations component of the Separations and Analysis Program is to develop the understanding needed to enable advances in separation science.
The Separations and Analysis Program is driven by the questions of individual principal investigators: It is not "directed" research. The peer review process guides the selection of questions that are to be pursued. Any fundamental science that addresses questions in the area of separations phenomena that is also consistent with the mission of the Department of Energy is appropriate for the program. The goal is to encourage innovation and creativity and to maintain an attitude of open inquiry.
This document lists some of the accomplishments made possible by the research program over the last 20 years. It is important to keep in mind that all of the advances listed below resulted from the pursuit of knowledge at the most fundamental level. The application of that knowledge to specific problems often enabled major technological innovations. It is a characteristic of basic research that its products often have impact on an unanticipated and broad scale. This characteristic is illustrated in these accomplishments. They serve as a testament to the value of open, undirected research.
Richard L. Gordon, Program Manager, May 18, 2000
Summary February 7, 2000
During the past several months a gathering of major accomplishments in the research sponsored by Basic Energy Sciences by currently sponsored institutions over the period of DOE's sponsorship has been undertaken. The request for these inputs took the form of a letter to principal investigators making the following request:
"We are seeking all of the examples of consequences of your work including that of your past or present colleagues. These could be:
- Commercialization of your ideas or developments,
- Use of your research in a scientific application that has been beneficial to society,
- Any development that has led to paradigm-changing understanding,
- Any development that has led to improvements in applications or practice."
Responses were collected from the majority of current principal investigators (PI). The input varied greatly in style and content, some focusing on one of the requested areas and others showing progress over the entire spectrum. This report is divided into sections using the original request as a guideline in subdividing the document. Therefore some of the reports were subdivided and placed in multiple sections. The name of the PI accompanies each report with the team details and addresses compiled at the end of the document.
Charles H. Byers, Editor, February 7, 2000
Table of Contents
- Commercialized Research Results.
- Commercialized Technologies.
- Uranium From Phosphate Rock Processing ( ORNL)
- Commercialization Of CO2-Based Green Chemistry (Hank D. Cochran)
- Cleanup of High-Level Waste Benefits from Fundamental Studies on Crown Ethers (Bruce Moyer)
- Crown Ethers for Removing Technetium from Alkaline Waste Solutions (Bruce Moyer)
- Basic Research Reduced Cost of Uranium Production (Bruce Moyer)
- Low Fouling Ultrafiltration and Microfiltration Aryl Polysulfone (Georges Belfort)
- DEPA-TOPO (ORNL)
- Separation of Lanthanides (Ames Lab)
- Zirconium-Hafnium Separation (ORNL -Ames)
- The Calutrons - Isotope Separations (ORNL)
- Fast Fluid Analyzer (ORNL)
- Continuous Annular Chromatography (ORNL)
- Emulsion Phase Contactor (David DePaoli)
- Dielectric Filter (David DePaoli)
- Micelles and Microemulsions in Supercritical Fluids ( ClemYonker)
- Stabilized Expanded Bed (David DePaoli)
- Products in Commerce.
- Aqueous Diphonix: A New Ion-Exchange Resin for the Removal of Radioactive and Hazardous Metal Ions from Solution (Mark L. Dietz).
- A New Generation Of Selective Polymer Beads (Spiro Alexandratos)
- Bifunctional Anion Exchange Resin for Groundwater Cleanup (Bruce Moyer)
- Surfactants For Dry Cleaning (Keith Johnston)
- Insoluble Drug Formulations (Keith Johnston)
- Separation Methods Technologies, Inc.(Mary Wirth)
- Commercialized Techniques.
- Solvent-Extraction Research Provides Basis for Commercialization of Sensitive Analytical Methodology (Bruce Moyer)
- Sensitive Instrumentation for Measuring Radionuclides has Revolutionized Radioanalytical Laboratories (Bruce Moyer)
- Evaporative Light Scattering Detector For HPLC (Georges Guiochon)
- Polymer Chain Growth On Surfaces (Mary Wirth)
- Laser-Based Detectors For Liquid Chromatography (Ed Yeung)
- Ionization Laser Vaporization for Mass Spectrometry (Ed Yeung)
- Applications of Small Drop Generation Technology (Basaran)
- High-Temperature Fiberoptic Spectroscopic Instrumentation for the Magnesium Industry (Sheng Dai)
- Spectroscopic Sensors for the Aluminum Industry (Sheng Dai)
- Spectroscopic Titanium Complex Sensors for the Titanium Industry (Sheng Dai)
- Research Beneficial to Society.
- Beneficial Technologies.
- Principle of Bifunctionality (Spiro Alexandratos)
- Room Temperature Ionic Liquids (Robin Rogers)
- Synergism Changes Course of Research on Crown Ethers for Extraction of Metal Ions (Bruce Moyer)
- From Nuclear Waste to Nuclear Medicine: Improved Chemistry for the Production of Yttrium-90 for Medical Applications (Mark L. Dietz)
- SREX : A New Process for the Extraction and Recovery of Radiostrontium from Acidic High Level Liquid Wastes (Mark L. Dietz).
- Beneficial Techniques.
- Technical Consulting Impact of ORNL Actinide Program (Sheng Dai)
- Surface Chemistry Details of Alkyl Carboxylate Adsorption (Jan Miller)
- Flotation Of Fine Particles in a Centrifugal Field (Jan Miller)
- Catalyst Reactivity and Separations using H2O/CO2 Emulsions (Keith Johnston)
- Filtering Protein Solutions (Georges Belfort)
- Paradigm-changing understanding.
- Host-Guest Complexation (Donald Cram).
- Solvation In Supercritical Fluid Systems, a Molecular View (Frank V. Bright)
- Ion-Water Structure in Hydrothermal Water (ClemYonker)
- Center for Green Manufacturing (Robin Rogers)
- NSF Science and Technology Center for Environmentally Responsible Carbon Dioxide Processes (Keith Johnston)
- Adsorption Energy Distribution (Georges Guiochon)
- Affinity of a Surface Substrate for a Protein (Georges Belfort)
- Single-Molecule Diagonistics Reveal Mechanism of Chromataographic Separations (Ed Yeung)
- High Sensitivity Infrared Spectroscopy of Silica/Solution Interfaces (Joel M. Harris)
- Relaxation Methods to Measure Sorption/Desorption Rates (Joel M. Harris)
- Application of Molecular Recognition to Capillary Scale Separations (Michael Sepaniak)
-
Fission Product Separation using Room Temperature Ionic Liquids (Sheng Dai)
- Improvements in Applications or Practice.
- In Situ FTIR Internal Reflection Spectroscopy (Jan Miller)
- DNA Hybridization using a New Polymer Chain Growth Method (Mary Wirth)
- Packing Density Homogeneity In Chromatographic Columns (Georges Guiochon)
- Flotation of Mineral Particles From Saturated Brines (Jan Miller)
- Analysis of the Long Range Hydrophobic Attractive Force (Jan Miller)
- Emulsification of Water and CO2 with Surfactants (Keith Johnston)
- Program for Modeling Liquid-Liquid Extraction Data (Bruce Moyer)
- Exploration of Fluorescence Lifetime Measurements (Linda McGown)
- Viscous Fluid Overturn during Rupture (Osman Basaran)
- Satellite Drop Elimination (Osman Basaran)
- High Pressure NMR (Yonker)
- Conclusions.
- Appendix A: Contributors.
- Spiro D. Alexandratos.
- Osman Basaran.
- Georges Belfort
- Frank V. Bright
- Hank D. Cochran.
- Sheng Dai
- David DePaoli
- Mark L. Dietz
-
Georges Guiochon.
- Joel M. Harris.
- Keith P. Johnston.
- Linda B. McGown.
- Jan D. Miller
- Bruce A. Moyer
- Robin D. Rogers.
- Michael J. Sepaniak.
- Mary J. Wirth,
- Edward S. Yeung.
- Clement R. Yonker.
- Appendix B: Request Letter
-
Appendix C: A Brief History of DOE Chemistry Support
DOE Chemical Sciences
Commercialized Research Results
Under this title, we can conceive of three sub headings: the implementation of a technology that finds its roots in the Separations and Analysis Program, the making of products that find their roots in the program and techniques that have been adopted by industry as part of their general practice.
Commercialized Technologies
Over the years many of the ideas that have been turned into technologies have been adopted commercially.
Uranium From Phosphate Rock Processing (ORNL)
Basic Energy Sciences research provided the scientific knowledge and the patented methods which subsequently enabled the efficient extraction of uranium as a valuable byproduct of the phosphoric acid manufacturing process. Large manufacturing plants in Florida and Louisiana, representing about half of the industry’s phosphate rock processing capacity, recovered uranium using methods based on this original work. The key to an efficient separation process was the development of an “extractant,” with a strong preference for the uranium found in acid solution, which was characteristic of phosphate rock processing.
Commercialization Of CO2-Based Green Chemistry (Hank D. Cochran)
New "green chemistry" approaches, which substitute benign carbon dioxide for noxious industrial solvents, have made it to the big time with announcements of commercial deployment of CO2-based dry cleaning technology by Micell Technologies, Inc. and CO2-based industrial production of Teflon polymers by E. I. DuPont de Nemours and Company. The research, which ultimately led to commercial success, was pioneered by Professor Joseph DeSimone of the University of North Carolina and North Carolina State University, including polymer synthesis in CO2 and the use of CO2-based surfactants or detergents. The pursuit of CO2-based green chemistry has benefited enormously from the basic research facilities and expertise of several DOE/BES research programs--at Pacific Northwest Laboratories with Richard Smith and John Fulton, at the University of Texas with Keith Johnston, at Oak Ridge National Laboratory with George Wignall and Hank Cochran, and others. This success story is a tribute to the effectiveness of the partnership of basic research, using the most powerful tools in the world, with applied research and development involving universities, national laboratories, and industry.
Cleanup of High-Level Waste Benefits from Fundamental Studies on Crown Ethers (Bruce Moyer)
Fundamental research at Oak Ridge National Laboratory has set the foundation for the development of a new solvent extraction process for separating radioactive 137cesium (137Cs) from the Department of Energy high-level wastes. These wastes, remaining from the production of nuclear weapons dating back to the Manhattan Project, are being stored in underground tanks at USDOE sites such as Hanford and Savannah River. There is currently a search for a set of technologies that everyone agrees will satisfactorily separate out the chief radioactive contaminants for vitrification and final disposal.One of the most tenacious technical problems is the separation of 137Cs, which together with 90Sr, accounts for most of the radioactivity in the waste. Typical "tank wastes" consist primarily of sodium salts with a trace of cesium, on the order of 1/100,000th of the concentration of sodium.The problem is that 137Cs is so radioactive that, even in this trace concentration, up to 99.999% must be removed to achieve a satisfactory decontamination. This is a stringent demand requiring extraordinary selectivity.
Since the promising discovery in 1967 that crown ethers could selectively bind alkali metals, scientists have regarded these large cyclic molecules as a possible solution to the decades-old cesium decontamination problem. Until recently however, no compound of this type has possessed sufficient selectivity and extraction strength. This changed with the advent of new calixarene-crown compounds in Europe. Even so, key gaps in fundamental knowledge stood in the way of developing a functional industrial process. Contributions toward this end came from ORNL. First, a soluble calixarene-crown extractant would have to be synthesized. Techniques discovered in basic research made possible ORNL's cesium extractant shown here, called "BOB Calix". The extractant is shown together with a positively charged ion of cesium (Cs+) inside one of its cavities. As shown more precisely in the 3-dimensional structure above, the rather precise fit of the Cs+ ion in the cavity gives rise to the remarkable selectivity for Cs+ ion.Making BOB Calix function properly required understanding the molecular details of its extraction and subsequent release of Cs+ ions.A critical step was the use of special fluorinated alcohols that enhance BOB Calix's extraction strength, allowing the expensive extractant to be effective at economical concentrations.
One of the alcohols is shown to the right. Understanding the details of the chemical reactions taking place through mathematical modeling of extraction data then revealed how to make the complex release its bound Cs+. This closed the cycle allowing the solvent to be used over and over again.
The resulting process, now referred to as the alkaline-side CSEX process, is so effective that the stringent decontamination and concentration requirements set at the Savannah River Site (SRS) for removal of more than 99.99% of the cesium in the waste are expected to be readily met. Recently, the process was selected as one of four top technologies for possible application at SRS where the process was shown in engineering evaluations to be competitive with the alternative technologies. One of the recognized advantages of alkaline-side CSEX is that the process would give a product stream that contains nearly pure cesium nitrate, an ideal feed for subsequent vitrification with concomitant major cost savings. The purity of the 137Cs product also suggests possible uses in gamma sources for industrial applications. A patent application is pending and the production of BOB Calix has been successfully transferred to the private sector (IBC Advanced Technologies). A 1999 Lockheed Martin Technical Accomplishment Award recognized this work. Applied and fundamental studies related to alkaline-side CSEX are continuing.
The foundation leading to this development was provided by basic research supported by the USDOE Office of Basic Energy Sciences, Chemical Sciences Division. More targeted studies have been carried out under the USDOE Environmental Science Program. Process development was supported under the USDOE Office of Technology Development, Efficient Separations and Processing Integrated Program.
Crown Ethers for Removing Technetium from Alkaline Waste Solutions (Bruce Moyer)
A combination of fundamental principles and process development has led to a remarkable method for extracting heptavalent technetium (Tc) from alkaline nuclear-waste solutions by the use of crown ethers. Technetium is a long-lived radioactive fission product found in wastes stored at several DOE sites. Almost two metric tons of Tc are stored in underground tanks at the Hanford site where it is planned to separate the Tc from the 55 million gallons of other waste components in the tanks. In the long term, Tc represents a concern owing to its environmental mobility in the form of pertechnetate anion and likely health risk for hundreds of thousands of years to come. Technetium also represents a short-term concern owing to its volatility which causes difficulties in vitrification processes proposed for nuclear waste. Research in the Chemical Separations Group of the Chemical and Analytical Sciences Division at ORNL has recently suggested extractive methods that could be used to remove Tc from the highly salted wastes stored in the tanks. Although it had been well known that crown ethers possess the ability to efficiently extract sodium salts by binding the sodium ion, a key question of interest at ORNL concerns what factors determine which salt would be extracted selectively from a mixture of sodium salts.
SRTALK process for removing technetium from nuclear waste
A fundamental understanding of the thermodynamics of such systems in fact led to the prediction that sodium pertechnetate could be selectively separated from the Hanford waste. In subsequent process development, this prediction was validated through invention of the SRTALK process. No pre-treatment of the waste solution is necessary, and the technetium can be recovered using a safe and inexpensive stripping process, regenerating the crown ether for many more cycles with minimal generation of secondary waste. Engineering tests with a waste simulant in a cascade of centrifugal contactors by collaborators at Argonne National Laboratory gave 89% removal of Tc from the waste, meeting the experimental goal. Remarkably, the tests gave a product stream concentrated 10-fold in sodium pertechnetate. Considering that the source of the recovered Tc would be a substantially toxic and complex waste, the remarkable purity of the Tc product would make for an ideal feed for production of waste forms for final disposal, with expected major cost savings. Given the product purity, a practical application may be found.
A chemical depiction of SRTALK is shown above. The waste is a mixture of salts concentrated in sodium, potassium, hydroxide, nitrate, nitrite, and carbonate, but with a trace of radioactive contaminants such as 99Tc. Most of the Tc is in the form of the negatively charged pertechnetate ion, which has the formula TcO4-. The crown ether complexes with sodium ions (Na+) as shown but can also complex with potassium ions (K+). The transfer of either of these metal ions into the solvent by the crown ether must also be accompanied by a negatively charged ion. Among the most easily transferred negative ion is pertechnetate with a selectivity over nitrate on the order of a thousand to one. When the solvent is contacted with water the sodium pertechnetate may be released into the water, regenerating the crown ether for further extraction cycles. The process is described by a 1995 patent and in numerous publications. The governing fundamental principles are described in a series of papers from the early 1990s continuing to the present. In 1999 a Lockheed Martin Technical Accomplishment Award recognized the development of the SRTALK process.
The foundation leading to this development was provided by basic research supported by the USDOE Office of Basic Energy Sciences, Chemical Sciences Division, and the process development was supported under the USDOE Office of Technology Development, Efficient Separations and Processing Integrated Program.
Basic Research Reduced Cost of Uranium Production (Bruce Moyer)
During the 1980s, U.S. uranium mills were able to reduce their costs as a result of fundamental understanding of molybdenum extraction gained in research at Oak Ridge National Laboratory. This understanding was important because molybdenum is often co-mineralized with uranium in ore and represents both a processing problem and potential by-product in uranium recovery. Common processing interferences in the solvent extraction of uranium from ore leach solutions arise from coextraction of molybdenum followed by troublesome precipitation of crystalline compounds in the solvent extraction equipment in the mills. Fundamental research revealed the identity and structure of the complexes formed in the extraction of molybdenum and the factors that controlled crystallization of these compounds. This information helped extractant manufacturers to improve their products and services by supplying the uranium mills with extractants tailored for higher molybdenum concentrations. In addition, U.S. uranium producers benefited directly by application of appropriate process controls to avoid costly sludge formation at several U.S. uranium mills. For example, controls demonstrated in 1986 at Chevron's Panna Maria facility produced annual savings of almost $300,000. Sometimes studying a particular problem gives insights into general chemical behavior, and interestingly, the understanding of molybdenum extraction has led to an improved understanding of a broad class of separations.
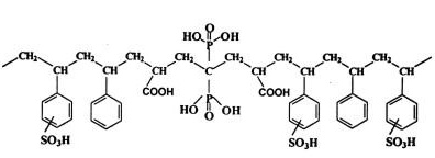
The extractant in this case belongs to a class of nitrogen compounds known as amines and contains three hydrocarbon chains. In its effective form, this amine has an additional hydrogen atom to give it an overall positive charge.The resulting ammonium ion must have a negative ion nearby.
In extractions, usually this anion is exchanged for a larger anion. A structure for a common type of extraction complex formed in such extractions is shown in the figure. This complex consists of the long-chain ammonium ions and two anions X- and Y- of different sizes. The small anion X- receives two hydrogen bonds from a pair of ammonium ions, and the larger anion Y- receives none. In the molybdenum problem studied at ORNL, the small anion was chloride Cl- and the large anion had the complicated formula PMo12O403-. The entire complex contained this large anion, three chloride ions, and six ammonium ions. Unfortunately, an X-ray structure of this unwieldy complex could not be obtained, but the general structure shown at right was in fact demonstrated for the first time on a related compound. The latter has two tributylammonium ions, one chloride, and one tetraphenylborate. Thus, an investigation related to a real-world problem explained a great deal about an important class of separations.
Low Fouling Ultrafiltration and Microfiltration Aryl Polysulfone (Georges Belfort)
Although Rensselaer Polytechnic was awarded a US Patent on work done prior to DOE funding (G. Belfort, Jim Crivello and Hideyuki Yamagishi, " Low Fouling Ultrafiltration and Microfiltration Aryl Polysulfone", Patent Number #5,468,390, Issued: 11/21/95), during the period of the current DOE grant, surface development work was conducted using photooxidation and low temperature plasma. Several US and foreign companies have expressed interest in this work and the patent. They include Millipore Corp, Bedford MA, Pall Corp., Gelman Division, Pensacola, FL, and PTI, Corp., Thousand Oaks, CA.
DEPA-TOPO (ORNL)
At Oak Ridge National Laboratory, based on a long research history in uranium chemistry, investigators supported by the DOE Basic Energy Sciences program undertook the study of uranium separations chemistry. An agent that converts uranium to a tetravalent state from the hexavalent form was required. In 1972, these researchers reported that they had developed a combination of two stable extractants with improved capabilities for stripping uranium from the phosphoric acid production process. Together, they were known as DEPA-TOPO, after the two extractants, Di 2-Ethylhexl Phosphoric Acid and Tri-n-Octyl Phosphine Oxide. The actions of the two extractants were found to be synergistic in that they worked together much more effectively than either did individually. So well did they work in this manner that almost 90 percent of the uranium originally in the phosphate rock solution was recovered when the process was used. This technology rapidly entered commercial practice.
Separation of Lanthanides (Ames Lab)
Chemically, the 15 naturally occurring rare earth elements are virtually indistinguishable from one another. As a result they are found co-mingled in rare earth-bearing ores and are difficult to separate. BES scientists developed the separation technology that allows the production in pure form of all the rare earths, and this technology provided for the first time easy access to rare earths in pure elemental form. Their availability led to a virtual explosion of new and advanced applications. Rare earths, when combined with certain other elements, form metal alloys having unusual magnetic properties. The red elements of color television pictures, for example, emanate as colored light from rare earth phosphors. Compact starter motors in automobiles make use of powerful rare earth-based magnets. Such magnets also make possible the miniaturization of magnetic tape readers, popularized in the so-called “walkman” audio cassette players. Some rare earth lasers are used to cut steel. Others surgically repair tissues of damaged or diseased eyes. Rare earth materials are used as well in advanced defense warning systems to detect submarines at great distances. In the United States alone 17,000 tons of rare earths are used annually, all based on the basic technologies originally developed by Basic Energy Sciences researchers. Column chromatographic methods were developed at Iowa State University, Ames Laboratory, allowing small quantities of pure lanthanides to be recovered. The development of complexing agents allowed the use of displacement technology in chromatographic columns, leading to much higher capacity.
Zirconium-Hafnium Separation (ORNL -Ames)
Basic Energy Sciences research made numerous contributions to the development of commercial nuclear power, particularly in the development of special materials used in the internal construction of nuclear reactors. One of the important chapters in these developments is the use of zirconium, which in pure form is transparent to neutrons and was very useful as the alloy zircalloy. Hafnium, zirconium's twin chemically, has the opposite neutron absorbing properties, so must be completely removed to take advantage of zirconium's properties. Building on the fact that workers at Ames Laboratory discovered that silica gel selectively removed hafnium from a solution of the tetrachlorides of zirconium and hafnium in methyl alcohol, researchers at Oak Ridge National Laboratory modified an existing process, called the Fischer thiocyanate process, and applied it to a new continuous flow zirconium separation process. This modified process, known generically as a solvent extraction process, was similar to another method used at Oak Ridge to extract uranium from plutonium. The commercialization of this process depended on two unrelated areas of basic research. First, the investigators had to find a suitable solvent which was methylisobutyl ketone. Second, they had to determine the optimum conditions under which the process would work. This process was then scaled up to a pilot plant, and eventually to a commercial production facility capable of producing about 1 million pounds of purified zirconium per year at the Northwest Electrodevelopment Laboratory. The technology was subsequently transferred to Teledyne Wah Chang and Western Zirconium.
The hafnium separated from the zirconium also has important applications. The very quality that makes hafnium a poor material for cladding is its high neutron absorption cross section. This renders it ideal for use in nuclear reactor control rods. Other desirable characteristics of hafnium include good ductility, machinability, and hot water corrosion resistance. Most of the U.S. hafnium production is used for control rods in naval reactors for nuclear powered ships and submarines. Other uses for hafnium include additives in high-strength materials, corrosion-resistant steels, cutting tool alloys, and optical glass.
The Calutrons - Isotope Separations (ORNL)
In a fortuitous twist of history, some of the calutrons built during the 1940s were saved and modified over the years to produce and maintain inventories of approximately 200 enriched stable (non-radioactive) isotopes useful to science, industry, commerce, and medicine. Enriched stable isotopes are used as research materials, intermediates in the preparation of radioisotopes and radiopharmaceuticals, and non-radioactive tracers.The calutrons are now shut down but have played a significant role in making available hundreds of stable isotopes.
Fast Fluid Analyzer (ORNL)
The centrifugal fast fluid analyzer was invented by members of the group whose support came from the AEC predecessor of the current Chemical Sciences office.The device was one of the first medical devices to analyze hundreds of samples of body fluids by centrifugal means.Thirty years after its invention it is produced by several companies and is in wide spread use in the medical analytical practice.
Continuous Annular Chromatography (David DePaoli)
The CAC is one of the leading success stories resulting from an ORNL group consisting of C.D. Scott, John Begovich, Charles Byers and several others who performed the original research.The annular device allows the continuous input of a feed mixture followed by a separation in the annular space between two concentric slowly rotating cylinders.The multiple products are removed at different angular positions on the periphery.This device can perform virtually all types of chromatographic separations.All of the basic work was done at ORNL under Chemical Sciences sponsorship.It was initially commercialized by IsoPro International Incorporated (http://www.isopro.net) and its predecessor System Designs.The interest here was in small laboratory scale units, research, and consulting.It went into full-scale production in 1998 at Prior Separations Technology (http://www.priorsep.com).During the past year units have been placed in the precious metals industry, in medical biotechnology, and in the food industry.The initial phase of this introduction into commerce is very promising.
Emulsion Phase Contactor (David DePaoli)
One of the early experimental successes of the group's work with the application of electric and electromagnetic fields to multiphase mixtures was the Emulsion Phase Contactor (EPC), an electrically driven solvent extractor concept that followed from the work on droplet oscillation and dispersion.T.C. Scott and R.M. Wham patented the technology in the group, with significant contributions from David DePaoli.The commercialization was with ABC Laboratories, who produce a laboratory EPC called "Excell", which is primarily used in water testing.On the process scale Natco has produced extractors for use in the desalting of crude oil. Most recently they installed a large system in Kuwait.
Dielectric Filter (David DePaoli)
The imposition of a high electric field to a granular bed of dielectric material like titania or glass imparts remarkable filtration properties to the dielectric bed. If a fluid phase containing nanometer or larger solid particles or droplets in the same size range, virtually complete removal of the dispersed phase can be accomplished. This technology has been applied by Dow Corning in its silicone production. It has several other applications as diversified a cleaning the smallest of metal cutting from machine oil to the breaking of aerosol. The photos show a simulation of the cutting oil example, where submicron particles of hematite are trapped in glass granules.
Micelles and Microemulsions in Supercritical Fluids (Clam Yonker)
Pioneering work at PNNL in the area of micelles and microemulsion in supercritical fluids has led to the commercialization of an important new cleaning technology utilizing CO2. Patents developed under the BES projects have been licensed to Micell, Inc. for dry cleaning applications. This new company was founded by Joe DeSimone who has made important discoveries in the design and synthesis of CO2 surfactants. The technology has won numerous awards during the last 5 years. In 1999, PNNL received the "Federal Laboratory Consortium for Technology Transfer" Award for Excellence for technology transfer of the reverse micelle technology to Micell Inc. PNNL's excellence in surfactant technology, their decade-long effort in CO2 cleaning and their involvement in the Joint Association for the Advancement of Supercritical Fluid Technology (JAAST) all played a role. In 1998, the significance of the PNNL/MICELL combined technology earned it an R&D 100 Award from Research and Development Magazine. In 1997, the Presidential Green Chemistry Challenge Award was presented to DeSimone and his collaborators (including PNNL) by EPA Director Browner and Vice President Gore. Work at PNNL over the last 15 years has lead to significant advances in our understandings of microemulsions in supercritical fluids including CO2. The initial discovery of the formation of microemulsions in compressible fluids (ethane) was made in 1987 under the BES program ("Organized Molecular Assemblies in the Gas Phase: Reverse Micelles and Microemulsions in Supercritical Fluids." Gale, R.W.; Fulton, J.L.; Smith, R.D., J. Phys. Chem. 1987, (109):920-921). The first studies to show the high solubility of fluorinated surfactants ("Observations on the Solubility of Surfactants and Related Molecules in Carbon Dioxide at 50°C." Consani, K.A.; Smith, R.D., J. Supercritical Fluids 1990, (3):51-65) and fluorinated chelates ("Solubility of Fluorinated Metal Diethyldithiocarbamates in Supercritical Carbon Dioxide." Laintz, K.E.; Wai, C.M.; Yonker, C.R.; Smith, R.D., J. Supercritical Fluids 1991, (4):194-198) set the stage for the discoveries that followed. In this first study of the solubility of fluorinated surfactants, appreciable amounts of water were dissolved into CO2 and later studies by SAXS of one of these systems ("Aggregation of Amphiphilic Molecules in Supercritical Carbon Dioxide: A Small Angle X-Ray Scattering Study." Fulton, J.L.; Pfund, D.M.; McClain, J.B.; Romack, T.J.; Maury, E.E.; Combes, J.R.; Samulski, E.T.; DeSimone, J.M.; Capel, M. Langmuir 1995, (11):4241-4249) showed the formation of reverse micelles. Much of the subsequent work at PNNL was aimed at understanding the fundamental properties that govern the behavior of these systems.
Initial studies on the measurements of the micelle size and structure were conducted using light scattering on alkanes and CO2 micelles. At PNNL, the early realization of the importance of using angstrom-wavelength radiation (neutrons and x-rays) for characterization of micelle structures led to the first SANS and SAXS studies of these colloidal systems in fluids. In 1990, Fulton and other researchers at PNNL conducted the first SANS studies of microemulsions in compressible fluids and measured the short-range and highly attractive nature of these microemulsions droplets ("A Small-Angle Neutron Scattering Study of Intermicellar Interactions in Microemulsions of AOT, Water and Near-Critical Propane." Kaler, E.W.; Billman, J.F.; Fulton, J.L.; Smith, R.D., J. Phys. Chem. 1991, (95):458-462). These SANS studies used a cell designed at PNNL. In overcoming some of the limitations of SANS sensitivity and the limited availability of SANS facilities at the time, the method of SAXS for supercritical fluids and carbon dioxide was developed at PNNL including the development of a high-pressure SAXS cell. This work culminated in a collaborative study between Fulton and DeSimone in which the first reported measurements were made of the size and geometry of large (20 nm) surfactant and water aggregates using DeSimone polymeric surfactants ("Aggregation of Amphiphilic Molecules in Supercritical Carbon Dioxide: A Small Angle X-Ray Scattering Study." Fulton, J.L.; Pfund, D.M.; McClain, J.B.; Romack, T.J.; Maury, E.E.; Combes, J.R.; Samulski, E.T.; DeSimone, J.M.; Capel, M. Langmuir 1995, (11):4241-4249). This represented a considerable advancement in our understanding of these systems since large aggregates of this size had not previously been known to exist in carbon dioxide.
In order to understand the nature of the high solubility of fluorinated compounds in CO2, researchers at PNNL measured the molecular interactions between CO2 and fluorinated compounds using Fourier Transform Infra-red spectroscopy ("Fourier Transform Infrared Spectroscopy of Molecular Interactions of Heptafluoro-1-butanol or 1-Butanol in Supercritical Carbon Dioxide and Supercritical Ethane." Yee, G.G.; Fulton, J.L.; Smith, R.D., J. Phys. Chem. 1992, (96):6172-6181). This study is widely cited in current efforts to design new CO2 surfactant. Using the same technique, the inter-molecular hydrogen bonding of nonionic surfactants in CO2 was reported ("Aggregation of Polyethylene Glycol Dodecyl Ethers in Supercritical Carbon Dioxide and Ethane." Yee, G.G.; Fulton, J.L.; Smith, R.D., Langmuir 1992, (8):377-384). The method of FTIR for studies of supercritical fluid microemulsion (including CO2) was developed at PNNL and techniques now used by others to probe water properties in CO2 microemulsions were first demonstrate at PNNL ("Reverse Micelles and Microemulsions in Near-Critical and Supercritical Fluids." Smith, R.D.; Fulton, J.L.; Blitz, J.P.; Tingey, J.M. J. Phys. Chem. 1990, (94):781-787). Using the full Lifshitz theory, the van der Waals interaction between microemulsion droplets in SC fluids was calculated ("Interdroplet Attractive Forces in AOT Water-in-Oil Microemulsions Formed in Subcritical and Supercritical Solvents." Tingey, J.M.; Fulton, J.L.; Smith, R.D., J. Phys. Chem. 1990, (94):1997-2004) helping to define the way that colloid particles behave in fluids such as carbon dioxide. There are now over 40 peer-reviewed scientific papers dealing with microemulsions in supercritical fluids that have resulted from work at PNNL over the last decade generated under BES support.
In recent advances in surfactant technology for CO2, a new system has been reported by Fulton at PNNL in which a conventional, inexpensive hydrocarbon surfactant (AOT) was used in combination with lesser amounts of a fluorinated co-surfactant to synthesize and stabilize large metallic (Ag) particles in CO2 ("Synthesizing and Dispersing Silver Nanoparticles in a Water-in-Supercritical Carbon Dioxide Microemulsion." Ji, M.; Chen, X.; Wai, C.M.; Fulton, J.L., J. Am. Chem. Soc. 1999, (121): 2631-2632) ("Properties of an AOT Microemulsion formed in Supercritical Carbon Dioxide using a Fluorinated Co-Surfactant", Fulton, J.L.; Jackson, K. 215th ACS National Meeting in Dallas, Spring 1998). This approach decreases the reliance on the more expensive fluorinated compounds while still stabilizing macro-molecular species.
Stabilized Expanded Bed (David DePaoli)
It was discovered that applying an electric field to a fluidized bed, say of molecular sieves, "freezes" this bed in an expanded mode, greatly reducing pressure drop while giving the s-shape sorption curve of a typical fixed bed. This concept has spawned several ideas like electric valves and partially stabilized beds.
Products in Commerce
A number of the chemical developments of the program are now in routine production in the chemical process industry.
Aqueous Diphonix : A New Ion-Exchange Resin for the Removal of Radioactive and Hazardous Metal Ions from Solution (Mark L. Dietz)
Considerable effort has been devoted to the development of ion-exchange resins capable of the selective removal of actinides from mixed and radioactive waste solutions and of hazardous metal ions (e.g., Zn , Cd, Pb) from industrial waste streams. Although effective under certain conditions, most commercially available ion-exchange resins suffer from one or more drawbacks that limit their utility. For example, commercial resins are typically ineffective at moderate (pH 1-4) to high (>0.1 M H+) acidities and in the presence of high concentrations of alkali metal salts. In addition, the rates of metal ion uptake and desorption are typically slow. Finally, each resin is typically capable of sorbing only a few types of metal ions from aqueous solution under a given set of conditions. Work at Argonne National Laboratory on the design of novel actinide complexants funded by the Office of Basic Energy Sciences (Division of Chemical Sciences) has led to the development of a new chelating ion-exchange resin, called Diphonix(tm), which overcomes all of the limitations associated with previous materials. This resin, one of a class of so-called dual-mechanism bifunctional polymers, employs geminally-substituted diphosphonic acid functional groups (among the most powerful metal ion complexing groups known) chemically bonded to a sulfonated styrene-based polymer matrix. The hydrophilic and non-selective sulfonic acid group provides access of the ions into the polymer matrix, while the gem-diphosphonic acid group provides specificity towards actinides and other cations complexed by diphosphonic acids. This combination provides an ion-exchange resin with rapid uptake kinetics, excellent selectivity over alkali metal cations, and unparalleled affinity for a number of toxic and/or radioactive cations, even from highly acidic solution. Adsorbed actinide ions can be recovered and the resin regenerated simply by eluting the resin with a solution of a commercially available, water-soluble diphosphonic acid. For non-actinides, a mineral acid solution of appropriate concentration (2-6 M) typically suffices.
The Diphonix resin, now available commercially from EiChroM Industries, Inc. (Darien, IL), has numerous actual and potential applications in industrial and nuclear waste treatment, reagent purification, and chemical analysis. For example, the resin has already served as the basis for a new process for the removal of uranium from mixed wastes resulting from Davies-Gray analyses. In addition, Diphonix has been employed in a new procedure for the isolation of actinides from large-volume soil and water samples for subsequent determination. Finally, plant-scale removal of iron from copper electrowinning solutions has been successfully demonstrated. A number of additional applications, including the treatment of potable water and the preparation of high purity reagents for use in the manufacture of semiconductors, are now under investigation throughout the United States.
In recognition of its potential significance in separations science, the Diphonix resin was selected as one of the "100 most technologically significant new products" of 1994 by R&D magazine.
A New Generation Of Selective Polymer Beads (Spiro Alexandratos)
The objective of the research was to develop a new generation of selective polymer beads that could be used to remove toxic metal ions from water by ionic "recognition", allowing them to remove only those toxic metals (such as mercury, lead, and cadmium) dissolved in water while allowing the beneficial metal ions (such as sodium, calcium, and magnesium) to remain in solution. An additional objective was to prepare polymers that could be used to remove radionuclides from a wide variety of aqueous solutions, including those from nuclear processing facilities.
The fundamental idea was to synthesize polystyrene beads that are bifunctional, i.e., two different types of ligands would be covalently bound to the beads. One ligand would bring all of the ions into the polymer matrix very rapidly while the second ligand would have the property of recognition and trap the targeted ion so that it could not re-enter the water. In this way, the polymer beads would have both rapid kinetics and selectivity - something that had not been previously achieved.Early successes include a bifunctional phosphinic acid polymer that complexed mercury ions from solution and then reduced the ions to free metal and a bifunctional ion exchange / precipitation polymer that complexed targeted ions and then converted them to their insoluble salt form.
Extension of the research led to the commercialization of a new polymer, in collaboration with researchers (Dr. Phil Horwitz and his co-workers) at the Argonne National Laboratory. This new polymer bead, now known as Diphonix, won a R&D- 100 Award in an international competition as one of the 100 most technologically significant products introduced in 1994. It extended the idea of bifunctionality and the use of one ligand for rapid access and one for ionic recognition: a sulfonic acid ligand played the role of the former and a diphosphonic acid ligand played the role of the latter. It has unprecedented affinity for radionuclides from highly acidic waste solutions and a demonstration unit in operation at Argonne showed its usefulness for the treatment of low level radioactive waste.
Bifunctional Anion Exchange Resin for Groundwater Cleanup (Bruce Moyer)
For those environmental problems where the contaminant is present at extremely low concentrations, remediation requies a high degree of selectivity..At the USDOE uranium-enrichment plants at Paducah, Kentucky, and Portsmouth, Ohio, radioactive technetium pollutes the groundwater, forming plumes that can have an excess of 400 nanograms of technetium per liter. Though the concentration is small the long half-life and mobility of technetium together with the health risk of its ingestion, this pollution represents a significant regulatory concern at these sites.This proves to be a difficult separation because the technetium is on the order of a millionth of the concentration of ordinary constituents of groundwater.Although off-the-shelf anion-exchange resins have a well-known applicability to problems such as this, the most common materials are an order of magnitude less selective than theory says they could be.The key to gaining this selectivity boost was available in ongoing fundamental research at Oak Ridge National Laboratory and the University of Tennessee.Application of theory in fact suggested increasing the size of the fixed positively charged sites on the resin.When this was done, selectivity increased as expected, but the rate of uptake of the negatively charged pertechnetate ion, TcO4-, the mobile form of technetium in groundwater, slowed dramatically.
To solve this problem, the researchers created the bifunctional resin they call "BiQuat," shown in the figure below.The secret to BiQuat is the presence of both small and large positively charged groups within the resin.The small groups promote fast exchange, while the large groups provide highly selective sites.In field tests at Paducah, BiQuat performed five-fold better than the resin used at the site.Field tests for a similar ion, perchlorate, have shown equally impressive results.A patent application is pending, and a commercial material is in development by the Purolite Company, a major producer of ion-exchange resins.A 1999 Lockheed Martin Technical Accomplishment Award recognized this work.Both applied and fundamental research continues.
The foundation leading to this development was provided by basic research supported by the USDOE Office of Basic Energy Sciences, Chemical Sciences Division, and the process development was supported under the USDOE Office of Technology Development, Efficient Separations and Processing Integrated Program.
Surfactants For Dry Cleaning (Keith Johnston)
Unilever is developing based to a large degree on the work of the Johnston group over the last 6 years. Their fundamental work on PDMS (polydimethyl siloxane) based surfactants played a key role in their development program, which is being commercialized. This work is continuing. The BES grant helped Johnston attract a research grant from Unilever for focused development in the area of surfactants for dry cleaning.
Insoluble Drug Formulations (Keith Johnston)
RTP Pharma, Inc. is working with the Johnston group to develop insoluble drug formulations with a focus on cyclosporine, an immunosuppressant. Johnston has received a research grant for this program, which has its underpinnings in the fundamental BES work under his guidance.
Separation Methods Technologies, Inc. (Mary Wirth)
While he was a graduate student at the University of Delaware, DOE supported Hafeez Fatunmbi, where he and Mary Wirth invented a means of using self-assembly of trichlorosilanes for making highly stable chromatographic stationary phases. Based on this technology and its spin-offs, Dr. Fatunmbi founded Separation Methods Technologies, Inc., in Newark, DE in 1993.
Commercialized Techniques
It is difficult to enumerate all of the ideas that have been adopted by the industry even for the original developers, because they tend to move into the industry through publications and with former graduate students, and become part of the company practice, often without feedback to the originators of the idea.
Solvent-Extraction Research Provides Basis for Commercialization of Sensitive Analytical Methodology (Bruce Moyer)
Results of fundamental research on selective extractants for metal ions have led to commercialization of radioanalytical technology and services by East Tennessee Radiometric Analytical Chemicals, Inc. (ETRAC).This firm manufactures liquid-scintillation "cocktails" and standards for the analysis of trace radionuclides in environmental, process-waste-stream, and laboratory samples.Fundamental studies at the Oak Ridge National Laboratory in the 1960s to late 1980s have revealed a number of highly selective extractants for separating metal ions from complex aqueous media.Examples of such extractants include large cyclic compounds, called crown ethers that bind metal ions such as cesium, strontium, and radium.Other extractants permit difficult separations of uranium, thorium, plutonium, polonium, and a range of other radionuclides.Such extractants have the ability to separate these metals in trace quantities, even from complex mixtures containing high concentrations of competing species.The liquid-scintillation "cocktails", also called extractive scintillators, are organic solvents containing selective extractants together with compounds that emit detectable light pulses upon absorbing radioactive decay energy.Commercialization of this technology has led to improved analyses in over a hundred industrial, government, and academic laboratories in the U.S. and around the world.
Sensitive Instrumentation for Measuring Radionuclides has Revolutionized Radioanalytical Laboratories (Bruce Moyer)
Research at Oak Ridge National Laboratory has revolutionized commercial analytical methodology for alpha-emitting radionuclides.This advance in methodology is now embodied in an instrument for detecting radioactive elements commercialized in the 1980s by ORDELA, Inc. of Oak Ridge, Tennessee.More broadly, standard liquid-scintillation instrumentation industry-wide now takes advantage of the same principles first discovered and published by the ORNL researchers.Marketed under the name of PERALS, this instrument, an alpha liquid-scintillation spectrometer, allows facile, yet extremely sensitive measurements of alpha-emitting nuclides such as uranium-238, plutonium-239, and polonium-210.Analyses for these and other alpha emitters are carried out daily on environmental samples, in bioassays, and in research.Previously, analytical procedures for these radionuclides were subject to interferences and difficult sample preparations.Results suffered from irreproducibility and large uncertainty.The PERALS spectrometer detects light flashes emitted by an extractive scintillator.This is an organic fluid containing selective chemical extractants for radionuclides combined with compounds that emit light flashes upon excitation by radioactivity.The ORNL innovation grew out of the discovery that the light flashes could be sorted electronically as either alpha or beta/gamma events, according to their unique pulse shapes.A prototype instrument based on this principle was developed at ORNL and received an IR-100 Award in 1981.Full commercialization of the technology has been achieved, and hundreds of the units are now in use worldwide.
Evaporative Light Scattering Detector (ELSD) For HPLC (Georges Guiochon)
The principle of the ELSD consists in nebulizing the eluent at the exit of the column, vaporizing the solvent (eluent) in a heated drift tube and detecting the particles of analytes by light scattering. It is applicable to detection of compounds that are much less volatile than the mobile phase and which contain no dissolved solids, (e.g., most buffers). This makes it most suitable for compounds with no UV chromophores like fats and sugars. The Guiochon research group (then in France) was the first to develop a really practical unit and to apply it to actual analytical problems, the analysis of many fats (triglycerides). . The work done under DOE sponsorship was essentially its validation, the determination of the optimum conditions of use and the range of applications. Because light scattering is nonlinear, the response of the detector is not linear also, which caused us problems, now easily solved with computers. There are now three or four good models on the market, at least two of which were developed based on concepts pioneered in the group's laboratories.
Polymer Chain Growth On Surfaces (Mary Wirth)
A former graduate student at the University of Delaware, Xueying Huang, earned his Ph.D. with DOE support, during which time he and Mary Wirth invented a new means of growing polymer chains on surfaces. He now works at Dionex in CA, and has developed two new products based on this technology. The products will be announced at Pittcon.One is for ion chromatography and the other for protein chromatography. Dionex is a leader in the analysis of ions in solution, an area very important to DOE.
Laser-Based Detectors For Liquid Chromatography (Ed Yeung)
The developments at Iowa State include various sensitive laser-based detectors for liquid chromatography and (more recently) for capillary electrophoresis. Two of these efforts won R&D 100 awards. In one example, optical rotation serves as a selective detection scheme for high-performance liquid chromatography of biological, clinical, and environmental samples. The scientists use 514.5-nm light from an argon laser, beamed down a 1.58-mm hole drilled in a 10-cm aluminum rod as the detection cell in their micropolarimeter. The method allows use of a wide variety of solvents or solvent gradients, because most of these are optically inert. The new detection scheme is three orders of magnitude more sensitive than conventional detectors.
Ionization Laser Vaporization for Mass Spectrometry (Ed Yeung)
The inventions at Iowa State include novel ionization mechanisms for mass spectrometry based on laser vaporization, especially directly from water solutions. Mass spectrometry (MS) is usually coupled on-line with capillary electrophoresis (CE) to analyze biomolecules by using electrospray ionization (ESI) or continuous-flow fast-atom bombardment (FAB). Yeung’s group developed a new design for laser vaporization/ionization TOF mass spectrometry. CE, with its low flow rate (< 1 µl/min), is highly compatible with MS even if the total column effluent is introduced directly. A UV laser is used to vaporize and ionize the solution eluting from the column. There is no need to have a make-up solvent. Using this system, amines and peptides can be analyzed directly. The concentration detection limit of serotonin is in the 10-7 M level. The separation and identification of an amine mixture by CE-MS demonstrates the complementary nature of the information. Even single biological cells can be introduced intact into the mass spectrometer for obtaining a mass spectrum.
Applications of Small Drop Generation Technology (Osman Basaran)
A team at Purdue has used a combination of in-house-developed finite element codes, which is an extension of codes developed as part of the BES program, and ultra-high-speed visualization with frame rates down to 10 nanoseconds to uncover (a) a means to produce drops of the same size at rates on the order of 1,000 to 10,000 drops per second, and (b) to eliminate satellites. The fundamental research that we have done in collaboration with commercial interests has not only directly impacted the Purdue BES research projects but has helped improve existing or has lead to new ways for making small drops of virtually identical sizes in applications including ink-jet printing, biochip processors, and imaging. Another example of where others have recognized the utility of the Purdue BES-sponsored work is that of the donation by Packard Biosciences to the PI's group of a state-of-the art 4-head biochip processor that is used in genomic studies.
High-Temperature Fiber Optic Spectroscopic Instrumentation Magnesium Industry (Sheng Dai)
The ORNL high-temperature fiber optic spectroscopic instrumentation, a high-temperature Raman magnesium sensor, has been used to investigate the melt chemistry of the magnesium electrolysis processes at the DOW Chemical Company.A CRADA program has been established for this research. This sensor will help to reduce the extremely large energy consumption by the magnesium industry. Our BES research in molten salts has provided essential expertise in high-temperature spectroscopic studies.
Spectroscopic Sensors for the Aluminum Industry (Sheng Dai)
The expertise of the ORNL applied chemistry group in spectroscopic measurements of molten fluoride melts has helped to establish a CRADA program with three companies (Alumax, Reynolds, and Kaiser) in developing sensors for the aluminum industry. This three-year program has concluded with successful development of noncontacting Raman sensors for the aluminum industry.
Spectroscopic Titanium Complex Sensors For The Titanium Industry (Sheng Dai)
Currently, the ORNL group is helping Johnson-Mathey, Inc., to develop spectroscopic titanium complex sensors for a molten salt process by providing guidance for a graduate student of Prof. D. R. Sadoway at MIT.
Research Beneficial to Society
We can conceive of many directions this subject might take, but have taken the route in subdivision taken in the previous section. Obviously, commercialization is beneficial to society, but these developments have been previously enumerated and will not be repeated.
Beneficial Technologies
Several examples are included under this mantra.
Principle of Bifunctionality (Spiro Alexandratos)
The fundamental idea is to synthesize polystyrene beads that are bifunctional, i.e., two different types of ligands would be covalently bound to the beads. One ligand brings all of the ions into the polymer matrix very rapidly while the second ligand has the property of recognition and traps the targeted ion so that it cannot re-enter the water. In this way, the polymer beads have both rapid kinetics and selectivity - something that had not been previously achieved. Early successes include a bifunctional phosphinic acid polymer that complexed mercury ions from solution and then reduced the ions to free metal and a bifunctional ion exchange / precipitation polymer that complexed targeted ions and then converted them to their insoluble salt form. This research was recently extended still further into what is known as the "Principle of Bifunctionality " and represents a paradigm shift in how polymer-supported reagents are prepared for the complexation of targeted metal ions from aqueous solutions.
Room Temperature Ionic Liquids (Robin Rogers)
Room temperature ionic liquids (RTIL) are gaining worldwide academic and industrial attention as replacements for organic solvents in catalysis, synthesis, and separations, in addition to their well-known utility in electrochemistry. This interest is understandable given the major industrial reliance on Volatile Organic Compounds (VOCs) as solvents and the ever-increasing regulation of toxic release of these solvents. Nonetheless, the development of industrial technologies to utilize the unique properties of RTIL as solvents is hampered by lack of fundamental data (e.g., physical properties, toxicity, solubility data, comparators to traditional solvents, etc.). Collecting this data for the millions of potential combinations of ions, which may form RTIL, is a daunting, time-consuming task. However, in the near-term, direct comparison of RTIL to specific organic solvents, or demonstration of techniques, which allow use of the cumulative knowledge in a particular field could dramatically expand their potential usage and speed the introduction of these potentially 'green' solvents into sustainable industrial processes.
Over 90% of hazardous waste is aqueous, and thus much of the industrial reliance on VOCs is based on the need for efficient separations from liquid media. Traditional solvent extraction employs partitioning of a solute between two immiscible phases, typically an organic solvent and aqueous solution. One area of opportunity for new chemical science and engineering technology which will help meet the goals of sustainable industrial technology is the development of new separations technologies that eliminate the use of flammable, toxic VOCs as solvents. Used in conjunction with, or instead of, appropriate current manufacturing processes, such technologies would help to prevent pollution and increase safety.
By demonstrating the compatibility of RTIL with fundamental principals used in solvent extraction (SX), separation scientists may use the considerable expertise developed in SX techniques for novel separations with RTIL without having to 'reinvent the wheel' and thus facilitating 'drop-in' replacement of VOCs in industrial practice. Using a simple indicator dye, thymol blue, we have demonstrated a) reversible pH-dependent liquid/liquid partitioning, b) the use of CO2 (g) and NH3 (g) to activate the 'proton switching' of phase preference, c) that structural variation within the RTIL ions may be utilized to fine-tune partitioning behavior, and d) solid/liquid separations are possible with low melting ionic liquids. In addition, we have shown how simple ionizable metal ion extractants (e.g., PAN and TAN) may be utilized to extract metal ions in a reversible fashion, a necessary condition for efficient stripping.
Synergism Changes Course of Research on Crown Ethers for Extraction of Metal Ions (Bruce Moyer)
Although the discovery of crown ethers by Pedersen in 1967 opened up many opportunities for selective separations of metal ions, it wasn't until the discovery of synergistic extraction by crown ethers at Oak Ridge National Laboratory that many practical industrial and analytical applications were made possible.To pursue these possibilities, researchers in numerous countries have published approximately 140 papers in the chemical literature, and at least one firm, East Tennessee Radiometric Analytical Chemicals, Inc. (ETRAC), uses the principle of synergistic extraction by crown ethers in its products and services.Below is a depiction of synergistic extraction of Cs+ ion from a mixture by a crown ether in synergistic combination with a sulfonic acid extractant.137Cesium is an important fission product found as a contaminant in wastes, soils, and groundwater at many USDOE sites, and a system like that shown in the figure is in use for radiochemical analysis.The role of the crown ether entails selective binding of the metal ion, rendering it extractable.The problem arises in that the extraction by the crown ether used alone is often prohibitively weak, because this requires the co-extraction of a negative ion and anions present in most solutions of interest are not extractable.By offering an exchangeable hydrogen ion, the sulfonic acid circumvents this problem completely.In addition, it has the advantage that the extracted metal may be back-extracted by raising the acidity of the aqueous phase to reverse the hydrogen-ion exchange.It is also tolerant of wide variation in matrix composition.Different combinations of crown ethers and organic acids are possible, making a scheme like that shown for cesium applicable to many ions and to many types of aqueous solutions.Research at ORNL spanning two decades from the mid 1970s has demonstrated the generality of the approach and has elucidated the underlying principles in representative systems.
From Nuclear Waste to Nuclear Medicine: Improved Chemistry for the Production of Yttrium-90 for Medical Applications (Mark L. Dietz)
Considerable effort has recently been directed toward the development of site-specific methods for the treatment of various forms of cancer using radionuclides. Among the more attractive radionuclides for such applications is yttrium-90 (Y-90). Researchers throughout the United States have been assessing its effectiveness (as part of labeled monoclonal antibodies) in treating lymphomas, leukemia, and ovarian, colorectal, esophogeal, and bone cancer. Others are exploring its application to the treatment of rheumatoid arthritis. Safe clinical use of Y-90 requires that it be made essentially free of its parent radioisotope, strontium-90 (an isotope known to cause bone marrow suppression), and any other elements that could interfere with radiolabeling. Many processes for effecting the necessary separation and purification have been described. All of them, however, suffer from shortcomings that make an improved process desirable, most notably, complexity, generation of yttrium in a form unsuitable for direct antibody labeling, or a gradual fouling of the strontium-90 stock (from which the Y-90 is obtained) by accumulation of process impurities. Building on research funded by the Office of Basic Energy Sciences (Division of Chemical Sciences) on the design of novel metal ion sorbents and of improved extractants for actinides and selected fission products, researchers at Argonne National Laboratory have developed a process by which Y-90 of extremely high chemical and radiochemical purity can be prepared. Briefly, the process involves the passage of an acidified solution containing Y-90, its Sr-90 parent, and its Zr-90 daughter through a series of columns packed with unique solid sorbents capable of selectively removing either strontium or yttrium from aqueous solution. First, a nitric acid solution containing the Sr-90/Y-90/Zr-90 mixture is passed through a series of three strontium-selective extraction chromatographic columns, each of which reduces the Sr-90 content of the solution by a factor of 1000-10,000. After acidity adjustment, the solution is passed through a final column that selectively retains yttrium. Residual Sr-90, Zr-90, and any impurities present are rinsed from the column with nitric acid and discarded. Finally, the purified Y-90 is stripped from the column with a small volume of dilute nitric acid.
Continued progress in the clinical application of Y-90 is dependent upon the availability of an adequate supply of inexpensive and highly pure material. The process described here represents a significant step toward ensuring the availability of such material. The process yields a carrier-free product of very high chemical and radiochemical purity, minimizing the danger of bone marrow suppression in patients treated with the material. It requires comparatively few manipulations, an important consideration given that the levels of activity required typically require remote handling. Because the process involves the purification of the Sr-90 feedstock each time the Y-90 is recovered, radiolytic degradation products do not accumulate in the feed, thereby prolonging its useful life and minimizing the volume of wastes generated and associated disposal costs. (This feedstock, it should be noted, is itself actually a solution of spent nuclear fuel wastes from DOE reactors. In effect then, the Y-90 Process serves to convert nuclear waste to nuclear medicine.) To date this process has been applied only to the preparation of Y-90, it can, with little modification, be adapted to the isolation of several other radionuclides of interest in therapeutic or diagnostic nuclear medicine.
SREX : A New Process for the Extraction and Recovery of Radiostrontium from Acidic High Level Liquid Wastes (Mark L. Dietz)
Decades of nuclear weapons production have resulted in the generation of large quantities of highly radioactive liquid wastes. Much of this material, whose total volume is estimated to be nearly 60 million gallons, is currently stored at various USDOE sites in a series of underground steel tanks. Because of the obvious potential environmental and safety hazards posed by the extended storage of such waste liquids, there has been considerable interest in the development of methods by which the waste can be rendered suitable for safe, stable, long-term storage. Of the options now under consideration, the most promising involves the incorporation of the material into a glass matrix and placement of this solidified waste deep underground in a geologic repository. Because of the enormous expense associated with waste conversion to glass, it is desirable to perform a preliminary separation and preconcentration of the most hazardous radionuclides, reducing the volume of waste requiring conversion and leaving the balance of the waste suitable for comparatively inexpensive near-surface disposal. Among these hazardous radionuclides is Sr-90. As one of the major heat-producers in nuclear wastes, its presence greatly complicates waste treatment, as unless it is removed, it could become necessary to remove a significant amount of heat from the stored solid wastes. Building on research funded by the Office of Basic Energy Sciences (Division of Chemical Sciences) on the effect of organic solvent and ligand stereochemistry on metal ion partitioning in crown-ether based extraction systems, researchers at Argonne National Laboratory have developed a process (called SREX, for strontium extraction) that provides a means of selectively and efficiently removing Sr-90 from acidic nuclear waste solutions. Briefly, this process combines a highly selective strontium extractant (bis 4,4'(5') tert-butylcyclohexano-18-crown-6) with a stable, non-toxic diluent (e.g., 1-octanol) to yield a process solvent capable of extracting strontium from wastes containing a wide range of nitric acid concentrations and permitting its recovery in a comparatively small volume of water or dilute nitric acid.
SREX represents an important breakthrough in separations technology. In the field of nuclear waste processing, it promises to greatly simplify waste handling and storage and to reduce the quantity of waste requiring expensive vitrification and deep geologic disposal. In addition, it permits the ready recovery of high purity Sr-90, material that could be employed as a fuel in thermoelectric power sources. SREX has also provided the basis for a new generation of more versatile waste-processing techniques, those involving the simultaneous removal of several hazardous radionuclides from a given waste stream. The use of such techniques is certain to reduce the cost of waste treatment still further. Finally, SREX has found application in separations problems far removed from the treatment of defense wastes. It has, for example, served as the basis for a new approach to the preparation of Y-90 for radioimmunotherapy and of improved analytical-scale separations methods for the isolation of radiostrontium and lead from environmental, biological, and geological samples. In short, SREX is a generic separations technology that not only represents a solution to an important and long-standing problem in nuclear waste treatment, but that also has numerous actual and potential applications to separations problems in a variety of other areas.
Beneficial Techniques
This is a very crowded area, with many of its possible entries dispersed in other areas of the document.
Technical Consulting Impact of ORNL Actinide Program (Sheng Dai)
The research input of the Oak Ridge Applied Chemistry group has been instrumental in solving several important problems in the daionuclide programs at ORNL and other government facilities.Some of the results include:
(a)MSRE Remediation We are responsible for realizing the potential problem of fluorine and uranium separation from the Molten Salt Reactor Experiment and have actually performed the key characterization analyses that have defined the extent of the problem.From this finding, a $15M program, originally led by L. M. Toth, has been established.Our fundamental knowledge of molten salt chemistry as developed in this BES program has enabled us to provide the essential expertise and facilities in remediating this problem.Our program has served as the cornerstone for instructing the remediation team in proper molten salt techniques, and our internationally recognized expertise has provided the assurance to DOE remediation concerns that the ORNL approach is scientifically sound.This has recently been affirmed by the recent National Research Council review of the remediation program.
(b)LANL ADTT applications Current interests at the Los Alamos National Laboratory in the Accelerator Driven Transmutation Technologies have included considerations of using molten fluoride salts as solvent media for various nuclear applications.LANL relies heavily on the molten salt expertise of this fundamental ORNL program in developing their technology.Particularly significant has been the demonstration (from our ORNL BES work) that changes in the molten salt composition can be used to profoundly change the chemistry of the system.These changes occur through Lewis acid/base phenomena, which result in varied coordination geometries around reactive solute materials and, thus, changes in and control of their chemistry.
(c)ANL IFR Processing Advanced understanding of molten salt chemistry has led to the invitation from DOE ER managers (Frank Goldner, Eli Goodman) for ORNL support of the molten chloride processing program associated with the Integral Fast Reactor development.Our BES program provided the base of information in experimental verification of many aspects of the molten salt processing, specifically the waste form development involving zeolite media.
(d)AVLIS Fuel Preparation The Atomic Vapor Laser Isotope Separations program involves a fuel preparation process that begins with uranium oxides that are converted to uranium metal.A medium of choice has been molten chloride salts.Our BES program had independently moved into the study of oxychloride species in molten salts and the identification and characterization of this novel complex oxide/halide chemistry have provided the key chemical steps, which control such oxide conversion processes.
(e)MSO Chemical Development:Molten Salt Oxidation process involves molten sodium carbonate solvents.Our BES program has provided the basis for analytical monitoring of these complex salt systems as well as the basic chemistry for many of the potential separations processes.
Surface Chemistry Details Of Alkyl Carboxylate Adsorption (Jan Miller)
Surface chemistry details of alkyl carboxylate adsorption from aqueous solutions have been established for calcium salt minerals by thermochemical measurements, ex-situ FTIR spectroscopy, radiochemistry measurements, and in-situ FTIR internal reflection spectroscopy.In general, surface states have been identified from the adsorption isotherm and include the chemisorbed monolayer and a surface precipitation region.In addition it appears that under certain circumstances cross-linking of adjacent unsaturated hydrocarbon chains occurs at the surface of calcium fluoride but not at other calcium salt surfaces.These findings and other related studies have helped to establish a fundamental basis for the flotation of phosphate rock and have contributed to improved reagent utilization and flotation practice in the phosphate industry.
Flotation Of Fine Particles In A Centrifugal Field (Jan Miller)
In the surface chemistry fundamentals of flotation separations the Utah Group have provided the foundation for the development of new technology for the including the air sparged hydrocyclone (ASH) and more recently, the bubble accelerated flotation (BAF) system.
Catalyst Reactivity and Separations using H2O/CO2 Emulsions (Keith Johnston)
The difficulty of catalyst separation and recovery continues to create economic and environmental barriers to the broader industrial application of homogeneous catalysts for chemical transformations, despite the remarkable activity and selectivity attainable through sophisticated ligand design in these systems.A number of approaches termed biphasic catalysis have been advanced where a soluble catalyst is immobilized in one liquid phase (often aqueous) and the substrates and products are isolated in a separate immiscible phase. We wish to report a new aqueous biphasic homogeneous catalysis system that uses only water and environmentally benign supercritical carbon dioxide (CO2) along with water-soluble catalysts and emulsion forming surfactants, which are active at the water-CO2 (w/c) interface.After reaction, simply decreasing the pressure breaks the emulsion, allowing both product separation and catalyst recycle.We demonstrate significant increases in catalyst activity relative to conventional biphasic water/organic systems for the hydrogenation of alkenes catalyzed by water-soluble rhodium-phosphine complexes using three different surfactants.These high reaction rates are likely due to a combination of higher hydrogen concentration due to miscibility in the CO2 phase, and increased interfacial surface area by emulsion formation.
This is a contribution jointly from University of Texas (C. Ted Lee, Jr. and Keith P. Johnston) and Chemical Science and Technology Division Los Alamos National Laboratory (Gunilla B. Jacobson and William Tumas)
Filtering Protein Solutions (Georges Belfort)
Direct intermolecular force measurements were made using the surface forces apparatus (SFA) and these results including the adhesion forces were correlated with several measures of filtration performance. Hen egg lysozyme was used as the model protein and hydrophobic (PES) and hydrophilic (HEMA-PES) surfaces were used as model polymeric surfaces for force-distance and for ultrafiltration measurements. The main conclusions from this fundamental research were that filtration of lysozyme solutions should be performed using hydrophilic polysulfone membranes and that this should be conducted at solution conditions where the pH is above the pI of the protein [2,7]. As a result of this DOE-funded research and the work of others, pharmaceutical and biotechnology companies now have specific direction of how to operate their membrane plants (during bioprocessing) when filtering protein solutions.
Perfectly Insulating Ultra-thin Silica Layers Immobilized on Metal Surfaces (Jeanne E. Pemberton)
The interest in silica surface chemistry relevant to separations science in the Pemberton group at the University of Arizona has led to the development of a new method for the formation of extremely thin (<100 Å), homogeneous and dense layers of silica immobilized on metal surfaces. These layered systems could be extremely important as dielectric layers in new ultra-small electronic and optoelectronic technologies, especially those based on organic polymer systems (such as organic-based transistors which are representative molecular electronic devices and organic light-emitting diodes which are being studied for use as pixels in display devices.) As shown in figure on the right, these unique layered structures are formed starting with a "molecular adhesive" layer that is comprised of a single layer of (3-mercaptopropyl)trimethoxysilane (hereafter called 3MPT) molecules that are directly bonded to the metal surface and which provide sites for bonding (i.e. "adhesion") of the thin silica layer on their outer edges. The thin silica layer is then formed by spin-coating a very small quantity of a dilute solution which contains reactive molecular precursors (molecules called tetramethoxysilane or TMOS) to silica. These TMOS precursors react with the 3MPT layer and with each other through a process called sol-gel chemistry to give the final solid silica layer. Our original interest in these systems was driven by our studies in separations chemistry; however, these thin silica layers have been found to possess some unexpected but quite remarkable insulating properties which have not been previously observed. Even when these layers are extremely thin (~30 Å or in other words approximately one-millionth the thickness of a human hair) they behave as perfect insulators with dielectric strengths and resistances better than or comparable to those of thermally grown silica (~10 MV/cm and >TS, respectively), which is the material universally used as insulating layers in virtually all microelectronics devices today. Even more noteworthy is the fact that these film qualities are realized through a strictly room-temperature process with no heating steps required. We believe that the unprecedented insulating qualities of our films are due to their unique microstructure that results from the sol-gel preparation conditions used coupled with the spin-coating chemistry on the 3MPT-modified metal surface. Although many other researchers have tried to fabricate truly insulating ultra-thin films from both inorganic and organic materials, none have exhibited the outstanding insulating characteristics of our ultra-thin silica films. In addition to the unique electronic characteristics of these films, they also can be modified and used as models of silica surfaces for spectroscopic characterization of chromatographic stationary phases.
Molecularly Imprinted Ordered Nanoporous Materials for Separation (Sheng Dai)
This method makes use of the unique surface environment of hexagonally packed mesopore surfaces of selected pore sizes and coats such surfaces with functional ligands by binding to a target metal ion template (see Fig. 1).This procedure produces much more uniform imprints that have the ideal size and stereochemical requirements (see Fig. 2) for binding target metal ions and has led to the preparation of mesoporous sorbents that exhibit unprecedented binding selectivities not observed in sorbents prepared by conventional coating methods. This development has resulted in a new class of ordered mesoporous sorbents with molecular recognition capabilities.We view these sorbents as solid state analogues to crown ether ligands, which can be tailored for a specific target ion.The simplicity of this technique should lead to a wide variety of new highly selective sorbents, the properties of which can be optimized for many metal ions with the proviso that they form stable coordination complexes with a suitable bifunctional ligand containing a silane group.Furthermore, this surface imprinting methodology should not be limited to the binding of metal ions.If complexes or molecules can be formed between targeted organic molecules and functional groups containing a silane group, application of the above methodology should lead to the synthesis of sorbents, which exhibit molecular recognition of organic molecules.The design principles illustrated by these results highlight opportunities for application in such areas as selective sorption, chemical sensing, and catalysis offered by imprint/coated mesoporous materials of special status as a timely and urgent communication.
Fig. 2 Schematic representation of the difference between the cavities generated by conventional coating (left) and imprint coating (right).
|
|
Paradigm-changing understanding
Paradigm shifts in understanding are the basis on which major changes occur in the science and the technology that depends on the science.These changes are the precursors of changes that affect the society, and as such are perhaps the most important, and most illusive products of research programs.
Host-Guest Complexation (Donald Cram)
The concept of host-guest complexation constituted a major paradigm shift in molecular level understanding of ion sequestration. Long-time Separations and Analysis grantee, Professor Donald J. Cram, now retired from the Chemistry Department of UCLA, shared the 1987 Nobel Prize in Chemistry for his contributions to this area. Professor Cram visualized molecules with size and charge characteristics sufficiently unique that one could be designed to specifically attract and hold only one metal ion. He then proceeded to develop synthetic routes for their production. In a 1989 conversation with this writer, Professor Cram was obviously most pleased with having “constructed bits of matter that had not heretofore existed.” The abstract of his work presented in Summaries of FY 1977 Research in the Chemical Sciences, (DOE/ER-0002), the earliest available edition, is quoted here:
"MULTIHETERO MACROCYCLES THAT COMPLEX METAL IONS"
Studies to design, synthesize, and evaluate cyclic organicligands have produced compounds that selectively complex metal salts and solubilize them in organic solvents. These cyclic organic ligands are applicable to procedures for separating metal salts by differential distributions between water and organic solvents containing the ligands. The organic compounds possess charged cavities that match the sizes and charges of metal ions they are designed to encapsulate. Compounds that will differentiate between actinides, lanthanides and other products of spent reactor fuels are being sought.” (The underlines are his.)
By 1985 the Chemistry Department had changed its name to the Chemistry and Biochemistry Department but the title of Professor Cram’s grant remained the same. The abstract for the 1985 Summary Book, (DOE/ER-0144/3, DE85008926) reads:
“The general objectives of this research are to design, synthesize, and evaluate new types of cyclic and polycyclic organic ligand systems for their abilities to complex and lipophilize selectively guest metal ions. Correlations are sought between ligand structures and their binding free energies, their rates of complexation-decomplexation, and their solvation effects. Desired properties are high selectivity, rapid rates of complexation, and incorporation of detecting systems into the ligand. The principles of complementarity of host and guest and of host preorganization are being tested as guides in ligand design. Organized arrays of most of the functional groups of organic chemistry are being tested as ligating sites. Particular emphasis is placed on those systems that contain weakly basic nitrogen, sulfur in various oxidation states, and carbonyl groups of various types. Synthetic methods are being developed which lead to enforced preorganization of binding sites. Solvent effects on binding are being studied.”
In the intervening years Professor Cram introduced cryptands, spherands, and hemispherands. The contributions can be gauged by the following extract from his abstract in the 1980 Summary Book, (DOE/ER-0079):
“Spherands are the only known ligand systems whose binding of metal cations is driven by the release of electron-electron nonbonded repulsion. They are composed of rigid carbocyclic frameworks that place heteroatoms in a spherical arrangement around enforced cavities. They are the only known synthetic compounds which, in the non-complexed state, contain holes. Spherands are being studied that are composed of six anisyl units strung together in a ring system by aryl-aryl bonds at their 2,6 positions. They are highly cation selective in forming meatllospherium salt complexes of unusual stability. Hemispherands are hybrids of crown ethers and spherands. A large number of structural variants are being prepared and examined which contain anisyl, methoxy-cyclohexyl, urea, pyridine, pyridine oxide, and amide units.”
One only need peruse the work on solvent extraction and ligand design presented in this document to recognize the importance of the contributions of Professor Cram to the fundamental science that underlies solvent extraction.
(This section was prepared by the Program Manger, Richard L. Gordon. No implication of an endorsement by Professor Cram is intended. Professor Cram has summarized his career in an autobiography, "From Design to Discovery," by Donald J. Cram, published by The American Chemical Society, Washington, DC, 1990. A discussion of host-guest complexation, its underlying concepts, and the use of CPK models to guide the research begins on page 50.)
Solvation In Supercritical Fluid Systems, A Molecular View (Frank V. Bright)
The fundamental research has centered on developing a molecular-level view of solvation in supercritical fluid systems.An understanding of how diffusion controlled, as opposed to kinetically controlled reactions proceed in supercritical fluids was developed, allowing researchers to predict the degree to which a reaction will be affected by fluid density. As a part of this program the first thermodynamically stable reverse micelle systems were formed in supercritical CO2. This has opened the door to a whole host of environmentally friendly syntheses, ranging from simple inorganic transformation to enzymatic reactions. This will also likely make an impact into analytical scale separations. The researchers have also shown how polymer/oligomer tail-tail dynamics can be influenced by fluid density. This work shows how one might be able to exploit polymers/fluids as a means to tune a reactive agent (e.g., chelator) in an environmentally friendly solvent.
Our work was recently recognized when Bright was selected as the 1999 Eastern New York American Chemical Society Buck-Whitney Award recipient. The award is presented annually to a young scientist, and consists of a certificate, an engraved medal, and a cash prize
Expanding the paradigm on membranes. (William Koros)
BES DOE-supported research pioneered the fundamental understanding of structure-permeability relationships for high performance air separation membranes.As shown in the figure below, taken from the recent text by J. Humphrey and G. Keller, membranes are still in the active developmental stage.The abscissa suggests that membranes offer many possible opportunities for improvements compared to the older and more established technologies.Practical implementation and technological development are clearly related as suggested in this plot.
Recently, research supported at the University of Texas has demonstrated a fundamentally based approach to expand the use of membranes to other important feed streams such as natural gases, petrochemical gases, and even liquids.Early tests show that the method, based on selective crosslinking of polymers, can be practically implemented.This development has the potential to double or triple the potential application of membranes to replace more energy intensive methods.This should have a huge impact on both membrane sales and the more effective use of natural gas that currently cannot be economically processed by traditional methods.This is especially useful for offshore and isolated sites.
Center for Green Manufacturing (Robin Rogers)
The 'Clean Solvent Extraction' project is the basic support for an institutional effort to form a center dedicated to the research and educational changes needed to foster a new paradigm of green chemistry and engineering. To develop a comprehensive national agenda for pollution prevention in industry, it is important to change the way people view industrial processes. The premise of the program is that Green Technology (research and development of new processes and new products that are environmentally benign) should be integrated into the science, engineering, and business curricula at all levels of education so that students are exposed to the issues and can learn how to approach solving them. Faculty at universities that produce the manufacturing workforce must team with industry to solve pressing environmental issues and involve students in the process. These cooperative efforts will not only provide relevant R&D on pollution prevention or remediation, but will provide the real world, team-oriented, problem-solving experience students need to understand and solve environmental problems.
The Center for Green Manufacturing (CGM) was formed to discover and to develop a molecular level understanding of industrial processes that would allow the redesign of manufacturing technologies to prevent pollution and save energy. This effort will be accomplished by focusing the State's environmental talents and resources in advancing efficient and environmentally responsible manufacturing technologies through research, education, and outreach activities in pollution prevention, process modeling, and optimization, and an understanding of the fundamental economic concepts in a cost/benefit context. The research programs in the Center are both fundamental (i.e., they create new knowledge) and applied (i.e., they solve problems). The CGM research endeavors are anchored in interdisciplinary and inter-institutional efforts and thus foster the transition from academic invention to industrial innovation. The Center's faculty and programs develop fundamental knowledge, optimize the science, engineering, and business concepts, generate new data, and transfer the technology to the private sector.
External Field Effects in Multiphase Separations(David DePaoli, Osman Basaran)
The primary motivation of the multiphase separations research is an understanding of the behavior of fluid-fluid and solid-fluid flows and how they are affected by the application of external fields, including electric, magnetic, and gravitational. Of particular interest is the behavior of interfaces in applied field situations.In the latter area, some of the primary contributions of the past decade have been made at Oak Ridge.Some of the specific contributions include:
Droplet Formation:Droplets and bubbles are at the basis of many separations processes and as such are the fundamental limitations of such processes.Understanding what leads to smaller, more turbulent droplets is a primary consideration, as are the dynamics of dispersion and coalescence.Oak Ridge workers have explored experimentally the formation of drops in fields, and their publications have greatly extended the understanding of such areas as formation in fields, oscillation dynamics, and hysteresis.
Dynamic Surface Tension: The accumulation of surfactants on interfaces has important ramification for both the hydrodynamics and transport in bubble or droplet systems. The dynamics of surfactants in the millisecond range was first explored at ORNL and Purdue University. A new technique was developed for measuring dynamic surface tension (dst) of fluid interfaces. Two attractive features of the method were that it could track tension evolution on a single interface (in contrast to virtually all popular methods for measuring dst), and measurements could be made with a time resolution of 1/12,000th of a second (a great improvement over competing techniques that could at best achieve 1/50th of a second). Theoretical and experimental studies by Zhang and Basaran have put this important field on a strong basis, one that will lead to great improvement of the control of sprays.
The Volume of Fluids Method: This method of predicting droplet and bubble behavior during formation is a major advance in predicting satellite drop formations and other non-ideal behaviors during formation at nozzles.
Inverse Bubble Drop Formation: Our pioneering work in controlling bubble formation in conductive fluid media has led to a proliferation of inventions ranging from new electro-ozonation technologies, to greatly improved control and efficiency of electrodistillation. The theoretical work here applies to virtually all areas in which less conductive fluids are the dispersed phase. This work is particularly important in biotechnology and environmental remediation work.
Micromixing in Electric Fields: Fundamental work has elucidated the behavior during mixing in an electric field. The mixing has not been entirely explained, but the effects have important applications in fluid mixing, precursor particle reactions, and in pumping of fluids.
Magnetic Separations: The effects of high magnetic fields in separations have been another branch of research that has led to exciting new uses of magnetic separations; especially the behavior of magnetic particles in fluids and the separations that result form them. HGMS extensions to ultra-high fields are an area of current interest.
An overview of the work over the past 20 years at ORNL in Multiphase Separations leads to the conclusion that there has been a very rich outpouring of ideas, solutions, and new understanding from this relatively small group of dedicated researchers. The basic research results have changed the way people think about electrotechnologies. The new understanding has lead to new questions and to the development and commercialization of new technologies.
NSF Science and Technology Center for Environmentally Responsible Carbon Dioxide Processes (Keith Johnston)
A $16 million National Science Foundation grant for research on environmentally safe solvents has been awarded to five chemical engineering and chemistry professors at The University of Texas at Austin and 28 professors in North Carolina. The award will fund a new NSF Science and Technology Center for Environmentally Responsible Carbon Dioxide Processes, the first such multi-institutional collaborative effort in the United States. This research will focus on use of specially processed carbon dioxide as a safe, abundant, and cheap substitute for the carcinogenic substances, also linked with destruction of the earth's ozone layer. University of Texas participants also include William J. Koros and Keith Johnston, professors of chemical engineering, whose work under DOE Chemical Sciences sponsorship has led to their participation in this award. Dr. Joseph M. DeSimone, the William R. Kenan Jr. Distinguished Professor of Chemistry at the University of North Carolina-Chapel Hill, will be director of the project. Participating institutions also to be funded by the award include North Carolina State University and North Carolina Agricultural and Technical University. The University of Venice in Italy, and the Oak Ridge, Los Alamos, and Pacific Northwest National Laboratories also will be participating in the research. In addition, there are 16 partners from the private sector, including BF Goodrich, Dow Chemical, DuPont, and Occidental Chemical. Research at the new science and technology center will include a study by behavioral scientists on interactions among the research teams themselves, including their use of communications technology. This could provide useful information for future projects involving joint research at geographically diverse locations.
Adsorption Energy Distribution (Georges Guiochon)
The study of the adsorption energy distribution was an attempt to measure the distribution for a series of probe compounds and to use the results to characterize the surface of particles and their ability to stick together in the manufacturing of ceramics. The main result was to show that the theories on the adsorption energy distribution are full of holes. The basic reason for that is that there are no reference surfaces certified by, e.g., the NIST to have a known energy distribution. Since the data measured are the result of convolutions of the energy distribution, there is no way to check the results of the theories and decide which ones are correct, are reasonable approximations, or are wrong. Making accurate measurements, we were able to show several inconsistencies in the conventional models. Surfaces have been found which have a bimodal adsorption energy distribution: most chiral stationary phases for HPLC obtained by immobilizing a chiral selector (e.g., a protein with a suitable cavity like albumin or CBH I). There are nonselective sites and chiral selective ones. The breadth of the two modes is poorly known but at least the average energy of each one can be reasonably estimated from independent measurements.
Affinity of a Surface Substrate for a Protein (Georges Belfort)
In most, if not all, of the protein adsorption studies referenced in the literature, the propensity of a protein to adsorb onto a particular surface was measured by the amount of protein on the surface after some relatively short time period (up to a few hr.). Many methods such as gravimetric, spectroscopic, inteferometric and direct protein assays have been used to determine the quantity or thickness of the protein layer adsorbed on the chosen substrate. The RPI group has shown that this could result in erroneous conclusions when estimating the affinity of a surface to adsorb a protein. For example, during the adsorption of relatively rigid asymmetric molecules like RNase A (hydrated dimensions 28x34x44 m) onto mica from aqueous solution, a complete monolayer was attained in about 1 hr. in the flat-on orientation, but after 24 h of adsorption the orientation changed to end-on. During this period, the amount of protein adsorbed onto the surface varied from 1.7 to 2.5 mg/m2, a 41 % increase! Earlier it was shown that adsorption of lysozyme onto hydrophilic surfaces (hydroxyethyl methacrylate (HEMA)-modified polysulfone, PES) was dominated by relatively small protein-polymer interactions. However, with a hydrophobic surface (unmodified polysulfone), both protein-polymer and protein-protein interactions were of equal importance and relatively large. Clearly, protein orientation and length of adsorption time can directly affect the amount adsorbed. Therefore, the effect of protein-protein interactions needs to be taken into account when trying to obtain a valid measure of the interaction between a protein and a solid substrate (i.e. protein-polymer interactions). For "soft" globular proteins (i.e. those with large adiabatic compressibilities, b) and especially those that have a high propensity to aggregate or change structure on adsorption it is important to take these considerations into account. Thus, directly measured adhesion or pull-off forces (rather than amount adsorbed) between a chosen protein and a particular solid substrate is likely to be a more fundamental and less complicated measure of protein-surface interactions. To summarize, the paradigm change is that measuring the amount adsorbed is misleading and provides insufficient information to obtain the affinity of a surface substrate for a protein. The pull-off forces are a much better measure of this affinity.
Single-Molecule Diagonistics Reveal Mechanism of Chromataographic Separations (Ed Yeung)
Chromatographic separation is a statistical process involving many repeated interactions between the molecules in a moving stream and an immobilized surface. The standard picture is that molecules occasionally bind to the surface and become delayed relative to the bulk motion. For the first time, images of individual protein molecules are recorded as they approach a fused-silica surface. Charge interaction causes the molecules to be trapped in the interfacial liquid layer for tens of milliseconds. This constitutes the direct verification of the statistical theory of chromatography. Microscopic reversibility is conserved. However, the molecules were not immobilized as portrayed in conventional models. They are simply held near the surface by attractive forces and can diffuse freely within the interfacial layer. The interaction distances are also found to be much longer than predicted by the electrostatic double-layer thickness. The results imply that molecule/surface interactions are considerably more efficient than expected. This is perhaps why in nature cell-surface receptors work so well in recognizing very low concentrations of target molecules.
High Sensitivity Infrared Spectroscopy of Silica/Solution Interfaces (Joel M. Harris)
To understand the mechanisms governing chromatographic separation of molecules by liquid chromatography, it is critical to know the structure of adsorbates at a silica/solution interface and the chemical interactions that are responsible for retention on the surface. Under DOE support, we have developed a vibrational spectroscopy that is allowing us to acquire in situ infrared absorption spectra of monolayers on the surfaces of silica in contact with mobile-phase liquids. We have captured a thin layer of colloidal silica particles onto an internal-reflection element (zinc selenide or germanium) to provide a high area surface for internal-reflection infrared measurements of molecules at silica/solution interfaces. Unlike planar silicon substrates, this approach opens up the spectral window to the entire mid-infrared range; it also provides a significant (nearly 1000-fold) increase in surface area for sensitive detection of sub-monolayer species. We used this method to study the adsorption of polar adsorbates to silica from nonpolar solvents. The vibrational spectroscopy has shown that previous models developed to explain nonlinear isotherm behavior are incorrect, and that the nonlinearity derives from site heterogeneity on the silica surface. We can report vibrational spectra both from the adsorbate as well as from sites on the surface. These provide information that help in the development of a model for retention. Competitive adsorption was also investigated, which is important for understanding solute displacement and elution programming in normal-phase liquid chromatography.
Relaxation Methods to Measure Sorption/Desorption Rates (Joel M. Harris)
Most of our understanding of chromatographic processes has been inferred from solute retention measurements. These measurements do not generally provide information about the role of sorption and desorption kinetics on retention equilibria. With DOE support, we pioneered a temperature-jump relaxation technique to monitor reversible kinetics at the chromatographic liquid/solid interfaces. A Joule-discharge apparatus was used to heat a packed bed of chromatographic silica on microsecond time scales. We investigated the sorption/desorption relaxation kinetics for fluorescent probes at a C18-modified silica surface. On a 100 ms time scale, a biexponential relaxation was detected for ionic solutes, where the slow rate increased as retention of the solute was increased (by changes in mobile phase composition). This behavior suggested that sorption kinetics were controlling the relaxation rate; a linear dependence of the rate on the concentration of the probe in the mobile phase verified this hypothesis. The results showed further that the sorption rate of ionic probes is slower than diffusion-limited and exhibits significant influence over the sorption equilibrium constant. The sorption rates of two neutral probes, however, were indistinguishable from a diffusion limit indicating a negligible barrier to sorption.
A similar study of adsorption kinetics onto a C1-derivatized silica surface showed that a slow relaxation rate arose from the adsorption of ionic solutes from solution. These results helped us understand the origins of the two steps for sorption onto longer chain ligands on silica surfaces. For adsorption of neutral probes onto a C1-surface, no barrier could be detected. To compare the response of an intermediate chain-length surface, we measured adsorption/desorption relaxation kinetics for an ionic fluorescent probe at C4-derivatized silica. A biexponential relaxation was detected having comparable rates that linearly increase as solute concentration; this behavior shows that adsorption kinetics on the intermediate chain length interface are different from the kinetics on both C1 and C18 surface. The relaxation rate of a neutral probe was also measurable in our experiments, which indicate the kinetic barrier to sorption cannot be neglected as in C1 and C18 cases. These results show that retention of molecules on surfaces having alkyl-chain length arise from different underlying kinetic mechanisms.
Application of Molecular Recognition to Capillary Scale Separations (Michael Sepaniak)
Fundamental understanding of the principles of molecular recognition as applied to capillary scale separations is expected to have a broad impact on separation science. Tunably selective separations of PAHs, PCBs, TCDDs, and various industrial products may have broad environmental and economic impact. The current state of the art in liquid phase analytical separation involves HPLC. In general, research laboratories have a few types of HPLC columns and a range of mobile phase solvents. Decisions regarding the use of these columns/solvents for a particular separation are largely based on past experience and/or hit or miss approaches to method development. The columns cannot be used in combinations and efficiencies are not as high as with the capillary electrophoretic methods we are developing. Our goals represent a substantial and far-reaching advance for analytical separations. At some point an array of macrocyle reagents such as cyclodextrins (CDs) with differing analyte molecular recognition properties would be made available in reagent kits. These reagents could be used individually or in almost any combination to rationally design a system to achieve the separation in question. We have already demonstrated that the CDs can be used in this manner to achieve separations of various PAHs. It is important to note that changing the separation system is as simple as filling the capillary with a different reagent mixture.
Developing molecular mechanics modeling methods to predict the effects of the reagents on separations is a formidable task. However, the potential rewards are great. We have achieved some correlation between separation behavior and computationally derived interaction energies. These methods need to be refined and the limits of the approach need to be determined. Studies of the mode of molecular recognition are equally important. As an example of the capabilities of this approach, consider the work at the University of Tennessee recently reported at the ACS Meeting in New Orleans. When the researchers used a commercially available, highly charged sulfato-CD that had been found by others to be useful for chiral separations, we found it did not function well at all in our applications. Using modeling techniques we visualize that the sulfato- groups hindered solute inclusion into the CD cavity. The modeling also revealed substantial H-bonding between this CD and other CDs that were also needed for separations (negating the effect of the other CD on the separation). The modeling indicated that replacing the sulfato- groups with carboxymethyl- groups might yield a much more effective macrocylic reagent. The synthesis of this new reagent, which was undertaken earlier this year, is rather involved (something one would not want to attempt without an indication it might work). The product is still impure, but early work using the compound revealed a far superior reagent for the separations at hand. The University of Tennessee workers also synthesized some reagents for sensor applications using this approach.
Imagine that a research laboratory has the aforementioned CD kit and the molecular modeling software and associated procedures we are developing. A separation challenge is confronted by entering the structures of the analytes that need to be separated into the program and surveying the available reagents to see which ones, and in what combination, are most likely to achieve the separation. If the proper reagents are not available, the modeling could guide the synthesis of new reagents as in the case described above. Further work is planned.
Fission Product Separation using Room Temperature Ionic Liquids (Sheng Dai)
Difficulties in increasing the solvent extraction efficiency of conventional solvent extraction systems using crown ethers as extractants lie in the unfavorable transport of the cation and counteranions from aqueous phases to organic phases.Limited solubilities of ionic species in nonionic organic solvents are the main problem associated with conventional solvent extractions.These deficiencies prompted the group at ORNL to develop molten salt extraction media that could convert the solvation of ionic species into a more favorable thermodynamic process.Ionic systems consisting of salts that are liquid at ambient temperatures can act as solvents for a broad spectrum of chemical species. These ionic liquids are attracting increased attention worldwide because they promise significant environmental benefits.Unlike the conventional solvents currently in use, they are nonvolatile and therefore do not emit noxious vapors which can contribute to air pollution and health problems for process workers.A very unique intrinsic property of these melts is that they consist only of ions and that they can be made hydrophobic.The novel dual properties of these new ionic liquids make them efficient solvents for the extraction of ionic species from aqueous solutions.From a thermodynamic perspective, the solvation of ionic species, such as crown ether complexes, NO3-, and SO4--, in the ionic liquids, should be much more favored thermodynamically than those of conventional solvent extractions.This is one of the key advantages of using ionic liquids in separations involving ionic species. These salts are usually liquids from around 100oC and thermally stable to around 200oC, depending on the specific structures of the anions and cations.Some room-temperature ionic liquids, such as 1-ethyl-3-methylimidazolium bis((trifluoromethyl)-sulfonyl)amide, are reported to be stable up to 400oC.A solvent with a liquid range of over 300oC without measurable vapor pressure is amazing.These properties should greatly simplify the chemical engineering of processes utilizing these solvents.Therefore, these room-temperature ionic liquids (molten salts) have been recently described as being "neoteric," or "groundbreaking," solvents.Results of the experiments performed by our group at ORNL showed that ionic liquids containing crown ethers and other macrocycles exhibit unusually large distribution ratios for the selective extraction of Sr++ and Cs+ from aqueous solutions.Whereas conventional solvents utilizing crown ethers and related extractants can deliver practical DM values of up to two orders of magnitude for the extraction of Sr++ and Cs+, preliminary tests with ionic liquids as extraction solvents revealed DM values on the order of 104. These results clearly show the exceptional potential that ionic liquids possess for increasing the extractive strength of ionophores such as crown ethers in fission-product separation applications.To our knowledge, no solvent extraction system based on mixtures of ionic liquids and crown ethers was previously reported.
Ion-Water Structure in Hydrothermal Water (Clem Yonker)
Supercritical water has important potential applications in (1) oxidative destruction of hazardous waste, (2) organic synthesis and oxidation reactions, and (3) salt separation and solubility. Coordination structure and redox chemistry in supercritical water are also of high interest to the area of geochemistry and corrosion. Due to the difficulty of experimentally probing this extreme solvent environment there is a severe lack of fundamental structural information. In ongoing studies at PNNL, scientists are using XAFS (X-ray Absorption Fine Structure) to study the structure of supercritical water at the Advanced Photon Source at Argonne National Laboratory. In the first studies of this kind it has been shown that XAFS is a powerful method to determine the local solvent environment around an ion in terms of the number of nearest solvent neighbors and the hydration distance. ("An XAFS Study of Strontium Ions and Krypton in Supercritical Water.", Pfund, D.M.; Darab, J.G.; Fulton, J.L.; Ma, Y., J. Phys. Chem. 1994, (98):13102-13107.)( "The ion pairing and hydration structure of Ni2+ in supercritical water at 425°C determined by x-ray absorption fine structure and molecular dynamics studies." Wallen, S.L.; Palmer, B.J.; Fulton, J.L., J. Chem. Phys. 1998, (108):4039-4046.) Another extremely important outcome of the research is the discovery of an effective way to test and develop intermolecular potentials that are used in simulations ("Direct Modeling of XAFS Spectra from Molecular Dynamics Simulations." Palmer, B.J.; Pfund, D.M.; Fulton, J.L., J. Phys. Chem. 1996, (100):13393-13398.). These ion-water and ion-ion intermolecular potentials are used both for high-temperature and ambient water studies. The existing water models that have been developed for ambient conditions do not accurately predict structure in high-temperature water. From the XAFS experimental results improvements hav been implemented to these models that have significantly boosted their performance by use of more realistic potentials.
Many different ion-water systems have been studied with XAFS starting with an early landmark investigation of Sr2+ in supercritical water. ("An XAFS Study of Strontium Ions and Krypton in Supercritical Water.", Pfund, D.M.; Darab, J.G.; Fulton, J.L.; Ma, Y., J. Phys. Chem. 1994, (98):13102-13107.) We have found significant dehydration occurring under supercritical water conditions for mono- and di-valent cations (Sr2+ and Rb+) ("Rubidium ion hydration in ambient and supercritical water." Fulton, J.L.; Pfund, D.M.; Wallen, S.L.; Newville, M.; Stern, E.A.; Ma, Y., J. Chem. Phys. 1996, (105):2161-2166.) and for a monovalent anion (Br-) ("Hydration of Bromide Ion in Supercritical Water: An X-ray Absorption Fine Structure and Molecular Dynamics Study." Wallen, S.L.; Palmer, B.J.; Pfund, D.M.; Fulton, J.L.; Newville, M.; Ma, Y.; Stern, E.A., J. Phys. Chem. A 1997, (101):9632-9640.) More recently we have explored NiBr2 hydration and ion pairing in high-temperature water. ("A Transition in the Ni2+ Complex structure from six- to four-coordinate upon formation of ion pair species in supercrtical water: an XAFS NIR and MD study." Hoffmann, M.M.; Darab, J.G.; Palmer, B.J.; Fulton, J.L., J. Phys. Chem. A 1999, (42):8471-8482) At room temperature, the octahedral Ni2+(H2O)6 species persists at all salt concentrations. This species is still prevalent at 325°C, but at higher temperatures it is replaced by four-coordinate structures. Above 425°C, at moderate pressures up to 700 bar, the stable structures are a family of four-coordinated species (NiBr(H2O)3•Br, NiBr2(H2O)2, NiBr3(H2O)•Na) where the degree of Br- adduction and replacement of H2O in the inner shell depends upon the overall Br- concentration. The most likely symmetry of these species is a distorted tetrahedron. Thus, we have completed the definitive structural characterization of several ionic species at high temperatures. Most recently we have investigated the structure about Cu+ above 300°C. We have found an unusual linear copper halide species that has now been characterized for the first time. Many other systems are currently under study using this powerful technique.
Improvements in Applications or Practice
This last section obviously contains all of the inputs that are important but do not fit comfortably in to the other categories we have arbitrarily selected. The title tends to imply lesser accomplishments, but that is not the case here.
In Situ FTIR Internal Reflection Spectroscopy (Jan Miller)
Considerable efforts and contributions have been made in the general use of in-situ FTIR internal reflection spectroscopy (IRS) to describe the surface state of surfactants adsorbed from dilute aqueous solutions.These contributions include the successful development and verification of the FTIR/IRS adsorption density equation which allows for the direct calculation of adsorption density from the absorbance signal and the optical properties of the system.Verification of the FTIR/IRS adsorption density equation was accomplished by the examination of LB films transferred to the surface of the internal reflection element such as a calcium fluoride single crystal.In this way, for the first time, complete adsorption isotherms were established from in-situ FTIR measurements of adsorption densities including coverages of less than one monolayer.These measurements can be made in real time and approach to the equilibrium state can be followed in order to establish the adsorption reaction kinetics.In addition, with this in-situ FTIR/IRS technique the bonding of the functional group with the surface can be described as well as the orientation and conformation of the hydrocarbon chain at the surface.In this regard, the formation of self-assembled monolayers of alkyl carboxylates at a calcium fluoride surface were examined in-situ and compared to transferred LB monolayers.Finally, the nature and stability of the adsorbed state were related to wetting characteristics as determined by contact angle measurements and flotation experiments.In summary, confidence in the utility of in-situ FTIR/IRS for flotation chemistry studies has been established and specifically, the FTIR/IRS adsorption density equation provides a valuable analytical tool for in-situ surface chemistry studies in many fields, composites, bioengineering, and environmental technology.
DNA Hybridization using a New Polymer Chain Growth Method (Mary Wirth)
Researchers at the University of Delaware, sponsored by DOE,are collaborating with FMC Bioproducts in evaluating a new method of polymer chain growth as a possible platform for new technology in DNA hybridization which will have medical and forensic applications. This also has ties to the goals of DOE's human genome program.
Packing Density Homogeneity in Chromatographic Columns (Georges Guiochon)
The idea is to improve the efficiency of columns by identifying the causes of the wall effect, by understanding better the mechanism of the packing of columns by consolidation of beds of particulate packing materials, and determining the properties of these beds. The group was able to demonstrate the critical role played by friction of the bed against the column wall. Due to this friction, a radially heterogeneous bed is formed with a layer of material close to the wall that is more densely packed than the bulk of the bed. The radial distribution of the packing density, hence of the local porosity of the bed of packing material, translates into a similarly heterogeneous distribution of the bed permeability and of the mobile phase velocity. This causes a warping of the sample bands. The group showed also that wall friction is related to the internal angle of friction, a property of the material that depends on the shape of the particles and on the rugosity of their surface. The radial stress of the bed against the wall depends also on the nature of the solvent used as the packing solvent. Ways to reduce this stress are under investigation.
See, e. g.:
Consolidation of Particles Beds and Packing of Chromatographic Columns. Georges Guiochon, Tivadar Farkas, Hong Guan - Sajonz, Joon-Ho Koh, Matilal Sarker, Brett J. Stanley and Tong Yun. Journal of Chromatography A, 762 (1997) 83-88. Evidence of a Wall Friction Effect in the Consolidation of Beds of Packing Materials in Chromatographic Columns. Georges Guiochon, Eric Drumm and Djamel Cherrak. Journal of Chromatography A, 835 (1999) 41-58.
Simulation of Wall Friction Effects in High Performance Liquid Chromatography (HPLC) Columns. B. G. Yew, E. C. Drum and G. Guiochon. Proceedings of the Fourth International Conference on Constitutive Laws for Engineering Materials: Experiment, Theory, Computation and Applications, Troy, NY, 1999, pp. 513-516.
On-column Visualization of Sample Migration in Liquid Chromatography. R. Andrew Shalliker, B. Scott Broyles and Georges Guiochon. Analytical Chemistry, 72 (2000) 323-332.
Flotation of Mineral Particles from Saturated Brines (Jan Miller)
A group at the University of Utah studied the surface chemistry of soluble salts with regard to the flotation of these mineral particles from saturated brines.A nonequilibrium electrophoresis technique was developed which has allowed, for the first time, estimation of the sign of the surface charge of such soluble salts in their saturated solutions.Even though the double layer is collapsed under these high ionic strength conditions, this characteristic feature (sign of the surface charge) was correlated with the flotation response using primary amine surfactants.The experimentally determined sign of the surface charge for these soluble salts (primarily alkali halides) was explained from first principles using the lattice ion hydration theory.More recently, it has been shown that surface hydration and interfacial water structure are even of greater importance in describing the general flotation response of soluble salts.Specifically, flotation of the salt particles is facilitated with both anionic and cationic collectors, when the dissolved salt acts as a water structure breaker, i.e., the short-range tetrahedral structure of water is disrupted.Such phenomena have been established for brine solutions from viscosity and Raman spectroscopy measurements.This research has clearly provided the fundamental foundation for the flotation of potash and it is expected that this understanding of soluble salt flotation will provide the basis for the more extensive use of flotation technology in the processing of other soluble salt resources such as borax, trona, and other alkali halides.
Analysis of the Long Range Hydrophobic Attractive Force (Jan Miller)
A significant contribution has been made regarding analysis of the long-range hydrophobic attractive force.It is believed that this attractive force is the important interaction between hydrophobic surfaces which accounts for bubble attachment at a hydrophobic particle surface, the fundamental step of the flotation process.With the atomic force microscope (AFM) hydrophobic surface forces have been measured using the colloidal probe technique.These results support the hypothesis that rupture of the water film between hydrophobic surfaces at distances of more than 100 nm is due to cavitation in the film or the coalescence of nanobubbles which are accommodated at hydrophobic surfaces.The significance of dissolved gas and surface roughness on this interaction has been established.In some instances the force curves actually appear to reveal the cavitation events in the 100 nm region during approach of the hydrophobic surfaces.The presence of nanobubbles in the interfacial water region near hydrophobic surfaces has been supported from FTIR/IRS measurements, which show gas (butane) accommodation at a hydrophobic silicon surface, but not at a hydrophilic silicon surface.This spectroscopic discrimination regarding gas accommodation in the interfacial water region had not been demonstrated previously.Thus it is evident that our understanding of the interfacial water structure has been extended, and this study complements other spectroscopic studies of hydrogen bonding of interfacial water reported in the literature.
Emulsification of Water and CO2 with Surfactants (Keith Johnston)
This group has discovered novel water-in-CO2 emulsions. A patent application has been submitted, Emulsification of Water and Carbon Dioxide with Surfactants. The abstract of the patent disclosure states that a new type of emulsion of water and carbon dioxide is disclosed with a water-to-carbon dioxide ratio between 1:10 and 10:1.Only small amounts of a surfactant are required to form a single emulsion phase without any excess phases.The emulsion is stable without shear for over 24 hours. The emulsion is a new composition of matter which may be used as a solvent in a broad range of fields including heterogeneous chemical reactions, heterogeneous polymerization, cleaning of metals, fabrics, semiconductors, and contaminated soil, solvent-free coatings, solubilization of biomolecules, enhanced oil recovery, environmental science for waste minimization and treatment, and materials science.The emulsion serves as an environmentally benign solvent substitute for toxic organic solvents.
Program for Modeling Liquid-Liquid Extraction Data (Bruce Moyer)
The FORTRAN least squares modeling program SXLSQI now represents the most advanced treatment of solvent-extraction equilibria available.From the earliest attempts to unravel the complexities of solvent-extraction distribution behavior, a major obstacle to progress has been the inability to unambiguously distinguish between effects due to species formation and effects due to nonideality.As a result, cumbersome and unrealistic experiments were required to produce understandable extraction data. Currently it is possible to automatically calculate effects of nonideality wherein experiments can be conducted under flexible conditions including ones that are typical of real processes.Data from such experiments can then be modeled with SXLSQI to determine the extraction complexes that have formed between extractants and extracted ions and molecules.Below is a typical model made possible by computations carried out with SXLSQI.In this model, a metal salt M+X- is extracted by a crown ether CE to form various complexes in the organic phase, all related by a set of equilibria.In addition, one can learn the extent to which nonideality effects perturb the otherwise expected behavior.
As a research tool, the program thus allows researchers to gain a deep understanding of a system and allows prediction of behavior over a wide range of conditions, even those that have not been tested.This understanding has in turn helped make it possible to develop both analytical and process applications of crown ethers.For example, an understanding of the model below allowed ORNL researchers to find suitable process conditions for cesium extraction from nuclear waste.
Exploration of Fluorescence Lifetime Measurements (Linda McGown)
The research goal has been the exploration of the fundamental basis of fluorescence lifetime measurements and their use to extract physical and chemical information from systems of biochemical, clinical, or environmental importance. This research has spun off in several directions which are now funded independently by other agencies, such as the study of humic substances which is now funded by EPA, the study of organized bile salt media which is now funded by the ARO for the development of improved microreactors for enzymatic catalysis, and the introduction of on-the-fly fluorescence lifetime detection in chemical separations which is now the basis of a new approach to detection in DNA sequencing funded by the Human Genome Project through NIH. Additionally, this work has attracted attention from a wide range of government and industrial organizations. For example, the DOE research on fluorescence data formats that combine spectral and lifetime information through phase-resolved fluorescence spectroscopy led to collaborations with the FBI (for forensic fingerprinting of petrolatums for use in investigations of sexual assault), with an industrial company for analysis of wood pulp, and with an aluminum company for analysis of soil-derived and aquatic humic substances which interfere with their process chemistry.
Viscous Fluid Overturn during Rupture (Osman Basaran)
An important scientific question among engineers, scientists, and mathematicians studying breakup of liquid interfaces has been whether such an interface separating a viscous fluid from an ambient fluid can overturn prior to rupture. In numerous papers to date researchers have speculated that breakup in the absence of viscosity is analogous to shock formation in gas dynamics, and therefore the presence of even an infinitesimal amount of viscosity would prevent occurrence of overturning. The Purdue team has shown through first-principle calculations that surfaces of viscous drops, for example, do overturn prior to breakup provided that the viscosity is not too large.
Satellite Drop Elimination (Osman Basaran)
We have shown through fundamental experimental studies that electric fields can be used to eliminate satellite droplets during formation of drops from nozzles and tubes. The novelty of this work stemmed from the fact that satellites could be eliminated without requiring the recycling of any liquid.
High Pressure NMR (Clem Yonker)
Since the mid 90's, work at PNNL has focused on the investigation of supercritical fluid solutions using high-pressure NMR. There are numerous experimental techniques that have been used to investigate supercritical fluids. These range from FTIR, UV-Visible, fluorescence, ESR, and x-ray spectroscopies. NMR is a technique that has seen limited application to supercritical fluid solvents due to the specialized need for the design of a high pressure, non-magnetic probe and its associated electronics. There have been different successful solutions to a functioning high pressure NMR probe ("A new apparatus for the convenient measurement of NMR spectra in high-pressure liquids", Yonker, C.R.; Zemanian, T.S.; Wallen, S.L.; Linehan, J.C.; Franz, J.A., J Magn Res A 1995, (113):102-107) and each of these probe designs has its own strengths and weaknesses. Overall, NMR is an information rich spectroscopic technique, which can describe the solvent environment about a solute molecule, determine self-diffusion coefficients, ascertain molecular structure, measure hydrogen bonding in solution, and describe molecular clustering as a function of density. NMR can provide important molecular level information about the density dependence of rotational and translational dynamics in supercritical fluid solutions. Similarly, high-pressure kinetics and chemical equilibria can be investigated by the use of NMR. Aggregation and association in alcohols have typically been used to study hydrogen bonding dynamics in solutions. Methanol can associate through hydrogen bonding, and details about the dynamics of this interaction in solution have been investigated for both liquid and supercritical conditions ("Density and temperature effects on the hydrogen bond structure of liquid methanol" Wallen, S.L.; Palmer, B.J.; Garrett, B.C.; Yonker, C.R., J Phys Chem 1996, (100):3959-3964 and "Pressure and temperature effects on the hydrogen-bond structures of liquid and supercritical fluid methanol". Bai, S.; Yonker, C.R., J Phys Chem A 1998, (102):8641-8647). The nuclear shielding constant is an absolute measure of the electronic distribution about the nucleus and its effect on the observed magnetic moment of that nucleus in the applied magnetic field, which is sensitive to a molecule's chemical structure and local solvation environment. For methanol the CH3, and OH groups will each experience their own shielding environments. One assumes that changes in pressure or temperature affect the non-specific contributions to the nuclear shielding in a similar manner for all the different group's resonances. Thus, the difference between the shielding of the groups (Dd) can be related to the specific interactions in solution, which is due to hydrogen bonding of the OH group.
For methanol, the Dd data was obtained over a wide range of pressure and temperature (50 to 500°C and 2 kbar). A dramatic change of Dd in the vicinity of the methanol critical point, 239.4°C, at low pressure was observed. This is related to the large changes in density and thus hydrogen bonding of solution in this region. As pressure is increased through this temperature region, hydrogen bonding increases which contributes to a change in shielding of the nucleus and thus to a change in Dd. The slope ((¶Dd/¶P)T) for methanol increases with increasing temperature. This observation can be explained within the framework of the hydrogen bonding occurring in solution. Hydrogen bonding removes electron density from the vicinity of the 1H nucleus contributing to the deshielding of the proton. Qualitatively, an increase in Dd correlates with an increase in the deshielding of the OH proton relative to that of the CH3 group and thus an increase in hydrogen bonding in solution. This could be due to a change in both the extent and strength of the hydrogen bond network at high temperatures as one changes pressure as compared to a change in hydrogen bond strength alone at low temperatures with increasing pressure. The results demonstrate that increasing temperature at constant pressure tends to decrease the extent of hydrogen bonding in methanol, while increasing pressure at constant temperature increases hydrogen bonding in solution. One would anticipate that increasing temperature would more readily disrupt hydrogen bonds in solution. Increasing pressure at high temperatures should have a large effect on the solutions' hydrogen bond network, contributing to the larger slope ((¶Dd/¶P)T) seen at the higher temperatures. However, the NMR chemical shift data clearly indicates that significant hydrogen bond interactions exist for methanol at high temperatures and pressures and in the critical region.
Conclusions
The ideas, applications and technologies discussed in this document represent a major series of accomplishments that are unique to this program. Since there are only a couple of other separation sciences programs sponsored by the federal government, the DOE program represents a major portion of the accomplishments of the output nationally. (Ed.)
References
For an excellent discussion of the role of separation in the economy, see "Separation and Purification: Critical Needs and Opportunities," National Academy Press, Washington, D. C. 1987. This is a report of the Committee on Separation Science and Technology of the National Research Council, C. Judson King, Chairman.
The book, "The Chemistry of the Actinide Elements," by Joseph J. Katz and Glenn T. Seaborg, describes the early chemical separations processes developed during the Manhattan Project. The evolution from the Bismuth Phosphate process, through REDOX, and PUREX, is given in a lucid and thorough treatment. Methuen & Co., London, first published the work in 1957. John Wiley & Sons is listed as the New York source. Chapman and Hall, New York and London, published the Second Edition, by J. Katz, Glenn T. Seaborg and L. R. Morss, in two volumes in 1986.
A brief history of the support of research in chemical sciences by the Department of Energy and its predecessor agencies is given in Appendix C.
The Hanford History Web Page gives access to the amazing story of the Manhattan Project and the subsequent Cold War campaigns. It can be found at http://www.hanford.gov/doe/culres/historic/info.html.
Select to view the proposal requirements and solicitations from the Office of Science.
Select to view the description of the Separations and Analysis programs.
A link to abstracts of current research projects can be found at http://www.sc.doe.gov/production/bes/chm/Publications/publications.html
Select to view the proceedings of the Third DOE/BES Separations Research Workshop, held at the Hilton DeSoto Hotel, Savannah, Georgia May 12-14, 1999
Appendix A: Contributors
The contributors to this report are principal investigators supported by the Separations and Analysis Program of the Divsion of Chemical Sciences, Geosciences, and Biosciences, Office of Basic Energy Sciences, USDOE.
Spiro D. Alexandratos
Department of ChemistryUniversity of Tennessee
567 Dabney/Buehler
Knoxville, TN 37996
(423) 974-3399
(423) 574-4939 (fax)
alexsd@utk.edu
Osman Basaran
School of Chemical Engineering1283 Chemical Engineering Bldg
Purdue University
W. Lafayette, IN 47907-1283
(765) 494-4061
(765) 494-0805 (fax)
obasaran@ecn.purdue.edu
Georges Belfort
Howard P. Isermann ChemicalEngineering Department
Rensselaer Polytechnic Institute
Troy, New York 12180-3590
(518) 276-6948
(518) 276-4030 (fax)
belfog@rpi.edu
Frank V. Bright
Professor of Chemistry and Medicinal ChemistryDepartment of Chemistry
511 Natural Sciences Complex
State University of New York at Buffalo
Buffalo, NY 14260-3000
716-645-6800 ext. 2162 (voice)
716-645-6963 (FAX)
Email: chefvb@acsu.buffalo.edu
Hank D. Cochran
Oak Ridge National LaboratoryP.O. Box 2008 MS 6224
Oak Ridge, TN 37831-6224
(423) 574-6821
423-241-4829 (fax)
hdc@ornl.gov
Sheng Dai
Oak Ridge National LaboratoryP.O. Box 2008 MS 6181
Oak Ridge TN 37831-6181
(423) 576-7307
(423) 574-6843(fax)
dais@ornl.gov
David DePaoli
Oak Ridge National LaboratoryP.O. Box 2008 MS 6224
Oak Ridge, TN 37831-6224
(423) 574-6817
fax: 423-241-4829
ddi@ornl.gov
Mark L. Dietz
Argonne National Laboratory9700 South Cass Ave.
Argonne, IL 60439
(630) 252-3647
(630) 252-7501 (fax)
mdietz@anl.gov
Georges Guiochon
Department of ChemistryThe University of Tennessee
Knoxville, TN, 37996-1600
Phone: 423-974-0733
Fax: 423-974-2667
Email: guiochon@novell.chem.utk.edu
Joel M. Harris
Department of ChemistryUniversity of Utah
315 South 1400 East
Salt Lake City, UT 84112 -0850
Phone: 801-581 - 3585
Fax: 801-581-8433
harrisj@chemistry.chem.utah.edu
Keith P. Johnston
Department of Chemical EngineeringThe University of Texas at Austin
Austin, Texas 78712
(512) 471-4617
(512) 471-7060 (fax)
kpj@che.utexas.edu
William J. Koros
Department of Chemical EngineeringThe University of Texas
Austin, Texas 78712-1062
(512) 471-5866
(512) 471-9643 (fax)
wjk@che.utexas.edu
Linda B. McGown
Department of ChemistryDuke University
Box 90346
Durham, North Carolina 27708
(919) 660-1545
(919) 660-1605 (fax)
lbmcgown@chem.duke.edu
Jan D. Miller
Department of Environmental EngineeringUniversity of Utah
135 South 1460 East
Salt Lake City, UT 84112
(801) 581-5160
(801) 581-5560 (fax)
jdmiller@mines.utah.edu
Bruce A. Moyer
Chemical & Analytical Sciences DivisionOak Ridge National Laboratory
PO Box 2008 MS 6119
Oak Ridge, Tennessee 37831-6119
(423) 574-6718
(423) 574-4939 (fax)
moyerba@ornl.gov
Robin D. Rogers
Professor of ChemistryDirector, Center for Green Manufacturing
Department of Chemistry
The University of Alabama
Tuscaloosa, AL 35487
205/348-4323
205/348-9104 (FAX)
Email: RDRogers@Bama.ua.edu
Michael J. Sepaniak
The University of TennesseeDepartment of Chemistry
552 Buehler Hall
Knoxville, Tennessee 37996-1600
(423) 974-3141 - (423) 974-8023
(423) 974-3454 (fax)
msepaniak@utk.edu
Mary J. Wirth
Department of Chemistry & Biochemistry,University of Delaware,
Newark, DE 19716
phone: 302/831-6771
FAX: 302/831-6335
web page: http://www.udel.edu/chem/wirth/wirth.html
Edward S. Yeung
Department of ChemistryIowa State University
AMES, IA 50011-3111
(515) 294-8062
(515) 294-8062
(515) 294-0266 (fax)
yeung@ameslab.gov
Dr. Clement R. Yonker
Staff ScientistSupercritical Fluids Research Group
Environmental & Health Sciences
Division, MSIN: K2-57
Pacific Northwest National Laboratory
902 Battelle Boulevard
Post Office Box 999
Richland, Washington 99352
(509) 372-4748
(509) 375-6660 (fax)
clem.yonker@pnl.gov
Appendix B: Request Letter
The following is the request letter that was e-mailed to all of the principal investigators in the Separations and Analysis Program, Division of Chemical Sciences
Subject: Impact of fundamental science developed in the BES Separation Sciences Program.
Dear Colleague,
As discussed at our recent workshop, the budget for PI-driven research in the separation sciences has been flat for at least the last 10 years. Though there are no guarantees, we believe that documentation of the advances in separation science made possible by BES funding in the past can demonstrate the long-term value of basic research in this area, thus enhancing chances for continued or enhanced funding. Such documentation might also serve to establish an institutional memory for the Separations and Analysis Program in the Division of Chemical Sciences, and help reduce the impact of changing occupancy of the program office.
We need the help of the entire Separation Science community to assemble the information. We are seeking all of the examples of consequences of your work, or that of your past or present colleagues. These could be:
1. Commercialization of your ideas or developments,
2. Use of your research in a scientific application that has been beneficial to society, or
3. Any development that has led to paradigm-changing understanding, or
4. Any development that has led to improvements in applications or practice.
If there is doubt concerning whether you have something to contribute, please err on the side of inclusiveness. Multiple submissions are certainly welcome. It would be a mistake to assume that we have a corporate memory of your past highlights and other submissions. If you have submitted something like this in the past, we appreciate your doing it again. We seek
information from the earliest days of the program up until the present. Please feel free to pass this request on to retirees or others of your acquaintance who may be able to contribute.
We have not yet settled on the final form the documentation may take, but we'd like it to be accessible to the people who make both budget requests and budget decisions. The most effective input will likely be brief anecdotes with interesting, colorful illustrations. The primary audience will likely be nonscientists, so keep it relatively simple, with a minimum of acronyms and jargon. We'll try to assemble the information in the most effective way.
We anticipate that the maintenance of the document will be a continuing activity of the office, but we'd appreciate receipt of your initial contributions before the end of July 1999. We hope that you can respond before then, so we can begin our compilation and editing. We would appreciate your sending the information in digital form. Text can be attached as a word processor file. Graphics should be limited to GIF or JPG files. Please forward your submissions to Charles H. Byers (cbyers@isopro.net) or Richard Gordon (Richard.Gordon@science.doe.gov)
Thanks in advance for your help.
Dick Gordon
Charlie Byers
June, 1999
Appendix C:A Brief History of DOE Chemistry Support
(The following is from the Proceedings of a Symposium on the Early History of Chemistry at the Research Support Agencies, held in Washington, DC, August 30, 1990.)
SUPPORT OF BASIC CHEMISTRY
BY
THE DEPARTMENT OF ENERGY & PREDECESSOR AGENCIES
Daniel R. Miller and Elliot S. Pierce
The Beginning
In 1947, the Atomic Energy Commission's (AEC's) chemistry research program was inherited from the wartime Manhattan Project. Mostly, that program had been directed at the needs of the plutonium project, e.g., chemical processes for separating uranium, plutonium, and fission products, necessarily developed on a micro-scale. There were also studies of the chemistry of plutonium, neptunium, etc. Naturally, the effects of extremely high levels of radiation were important, as was the problem of radioactive wastes. Unusually high purities were required in some key materials, e.g., graphite, uranium, and zirconium. For the gaseous diffusion project (isotopic enrichment of uranium) the chemistries of UF6, diffusion barriers, etc. were studied.
Late-War and Early Post-War Transition
In 1945-47, after the plutonium production and processing facilities were operating successfully, the extreme concentration on process development and trouble-shooting was relaxed. Longer range studies were undertaken, such as searches for transplutonium elements and studies of their properties, chemical studies of nuclear reactions, the chemistry of power reactors and breeders, isotope effects, and radiation chemistry.
During that period the research was done at five major laboratories. The Clinton Laboratories in Tennessee became the Oak Ridge National Laboratory. Some management problems were experienced until a change of contractors was made, but then the Laboratory flourished. The University of Chicago's laboratories supporting the plutonium project were moved from campus to Du Page County and became the Argonne National Laboratory. Universities in the northeastern U.S. formed the Associated Universities, Inc., which signed a contract in 1946 with the Army to install and operate Brookhaven National Laboratory. The University of California Radiation Laboratory, where Emest O. Lawrence had launched the cyclotron, became the Lawrence Radiation Laboratory. At Iowa State University, Frank Spedding's wartime laboratory for uranium and plutonium metallurgy and associated fields became the Ames Laboratory. During these changes there had not yet begun the support of individual investigators' projects at universities.
Early AEC Days
In the period 1946-48 several thrusts were shaping the framework for research support. Vannevar Bush's report, "Science, the Endless Frontier" provided a powerful impetus to major involvement of the Federal Government in scientific research and technological development. A National Science Foundation (or National Research Foundation) was being debated. The Office of Naval Research was moving aggressively to keep alive the scientific capabilities built up during the war. The Atomic Energy Act of 1946 included a broad authority and requirement for conducting research with several purposes. These included: assisting and fostering private R&D to encourage maximum scientific progress in understanding and use of nuclear phenomena, and conducting a federally supported R&D effort to assure the Government of adequate scientific and technological accomplishment. The Division of Research was a statutory division "authorized and directed to make arrangements for conduct of R&D activities relating to" nuclear processes, production of atomic energy, utilization of fission and radioactive materials, etc. The language was important: "The commission is directed to ...insure the continued conduct of R&D [in the above fields] and to assist in the acquisition of an ever-expanding fund of theoretical and practical knowledge in such fields."
The size of the chemical research program taken over by the Division of Research of the AEC in 1947 was about $6-7 million and was at first still confined to Oak Ridge, Argonne, Brookhaven, Berkeley, and Ames (in order of decreasing size).
Honeymoon, 1947-52
The first year or two were hectic times for the Commission-- questions were faced such as: What laboratories? Who will manage them, government or private contractors? How will power reactor development be handled? What role will security matters play? But, after these questions had settled down, there was a honeymoon period in relations with Congress, within the Executive Branch, and with the general public. Why a honeymoon? Because during the war, atomic energy and radar had given science and technology a reputation for being capable of almost anything and this was reinforced by the Bush and Smythe reports.
In those five years the Chemistry Research Program approximately doubled, to $10-12 million. Much of the increase was due to establishment of the university contract program: from nothing in 1947 to $2-3 million in 1951. The makeup of the program also changed, becoming more basic in nature and broader in its content. Still, the research topics were easily identified as being AEC-related. The important areas included solution chemistry of inorganic ions and complexes; radiation chemistry -- how to deal with radiation and how to use it to advantage; chemical and nuclear studies of heavy elements; isotope effects; high temperature chemistry; and materials chemistry. It was about this time that one of us (Miller) joined the staff of the AEC Division of Research.
The initial administrative arrangements of the University Contract Research Program were borrowed heavily from on-going programs of other agencies, especially NIH and ONR. Examples were: 8% overhead, no academic-year salary for academic principal investigators, only 2 months of summer salary, the 2-column budget. Fixed-price contracts were used behaving much like grants.
About 1952 the arrangements changed to "joint participation" cost sharing. One-column budgets reflected total costs (full overhead, academic-year salaries, etc.), and only in the total were the respective government and university contributions specified. The contracts were almost all unclassified. In parallel fashion, the national laboratory programs were becoming more unclassified.
New long-range research in uranium and thorium chemistry was started, aimed at bases for their processing. A lot of geochronology and isotope geology was encouraged, giving an important initial boost to these now very important fields.
"Honeymoon's Over" (1952-56)
These were the first Eisenhower years, with tight budgets. Chemistry Programs held at the same budget level or moved up slowly, at around $15 million, with the content of the program approximately stable.
Post-Sputnik (1956-60)
Sputnik shook our national pride, the country was reminded that progress in science and technology was absolutely critical, and the AEC chemistry research programs benefited, moving in 1958 to about $22 million, including $5 million for 180 contracts "offsite," i.e., at universities.
The Joint Committee on Atomic Energy (JCAE) held hearings for two weeks in February of 1958 and established a record that basic research related to atomic energy was at an inadequate level, not enough to take advantage of the scientific opportunities or to serve AEC needs. JCAE, with a few exceptions, had always been a sort of kindly, but stern, grandfather.
Also in this period, under the aegis of the President's Science Advisory committee, the Seaborg report, "Scientific Progress, the Universities, and the Federal Government", was issued, endorsed by President Eisenhower. It made some very important observations:
"In science, the excellent is not just better than the ordinary; it is almost all that matters." "Basic research and the education of scientists go best together,” and "they are inseparable functions of universities."
The 1960's
The Seaborg era at AEC saw relative stability and slow growth. The Westheimer report (1965, National Research Council) recommended a higher level of support for research and instrumentation, and more basic research in the federal laboratories. It was valuable as a planning tool, but precipitated no major changes. (Interestingly, a circulated draft of the report covered all of the federal science agencies except AEC!)The 1970's -- Transitions
The energy shortage of 1973 led to a time of great change, with major upheavals in AEC's research program. The content of Chemistry Programs was broadened into topics related to solar, geothermal, fossil, and other energy areas. Physical Research was reorganized:
Nuclear Chemistry was moved from Chemistry to a newly created Nuclear Sciences Division run by physicists. Materials chemistry was divided along properties- vs. -processes lines, and the properties part was moved to a (renamed) Materials Sciences Division.
Chemistry Programs was moved into a newly created Molecular, Mathematical, and Geosciences Division.
In 1975 AEC was divided in two, one part moving into the new Energy Research and Development Administration. ERDA took over the AEC's, production and military programs, in the process redirecting programs and initiating more complex administrative procedures. Then in 1977 ERDA was dissolved, and its programs were taken over by the new Department of Energy. Redirection of programs, addition of administrative procedures and organizational changes continued. Molecular Sciences became the Division of Chemical Sciences, and a new Division of Engineering, Mathematical and Geosciences initiated a new program of basic research in engineering; one of us (Pierce) headed both of these divisions and their predecessors for about five years, until sanity was restored.
There were key changes of programmatic emphasis during all this:
From radiation chemistry to solar-related photochemistry. From physical chemistry to chemical physics, especially combustion-related.
In mass spectrometry, from nuclear systems to coal structure/chemistry and hydrocarbon mixtures.
Introduction of new areas of emphasis: catalysis, surface chemistry, biomass conversions.
During the 1950's, 60's and 70's, Chemistry Program and its successors relied on universities for about 1/3 of its performers, who, on a part-time basis, received about 1/4 of the funds. In the late 1970's, with the advent of the Department of Energy, those fractions rose to about 1/2 and 1/3, respectively. At the same time there began the process of increasing collaborations among national laboratories, universities, and industry.
Major Research Facilities
From the 1950's on, AEC and its successor agencies took the lead in providing major, expensive research facilities or products required for research. Most of these have been particle accelerators, but also among them are research reactors, radiation facilities, a laser-centered combustion diagnostics laboratory, and the separation of enriched isotopes by electromagnetic separation. In the early years most of these facilities were used nearly exclusively by national laboratory scientists and their collaborators at universities. During the 1970's and 8O's they were increasingly turned into user facilities, meaning more collaboration, more independent use and more competition throughout the scientific and technological communities for using them.
Principal among the major facilities or research materials provided with full or large support by AEC's Chemistry Programs and its successors have been these:
Argonne's Atomic Spectroscopic Facility.
Argonne's 4.5-MV Dynamitron Accelerator.
Argonne's Linear Electron Accelerator.
Argonne's Premium Coal Sample Program.
Berkeley's National Resource for Computation in Chemistry.
Brookhaven's High Flux Beam Reactor.
Brookhaven's National Synchrotron Light Source.
Kansas State University's Atomic Physics Accelerators.
Notre Dame University's Electron LINAC,
Oak Ridge's Calutrons (isotope separators).
Oak Ridge's EN-Tandem Van de Graaff Accelerator.
Oak Ridge's High Flux Isotope Reactor.
Oak Ridge's Transuranium Processing Facility.
Pacific Northwest Laboratory's Molecular Sciences and
Environmental Research Center
Sandia's Combustion Research Facility.
Stanford's Synchrotron Radiation Laboratory.
The NRCC
The story of the short-lived National Resource for Computation in Chemistry is probably the saddest in the annals of chemistry in AEC-ERDA-DOE. It met two timely needs, was carefully conceived, was strenuously competed for, and recruited its director very carefully. But after only a year of operation, it was killed by authorities higher than Chemical Sciences. This story was probably the original basis for the saying, "When chemists get into trouble, they pull their wagons in a circle and shoot inward."
Accomplishments
Each Federal agency that has supported significant numbers of researchers in chemistry has a collection of accomplishments of which to be proud. The list for AEC's Chemistry Programs and its successors is long, but an incomplete list of selected items shows its progression from focus on things nuclear to things bearing on energy in general:
Transplutonium elements -- discovery and characterization. Discovery of many nuclear properties.
Original applications of isotopes to geochemical problems, including proof of plate tectonics.
Neutron activation analysis.
Discovery and characterization of the hydrated electron.
Advancing chemical measurements from milliseconds to picoseconds and, with others, femtoseconds.
Separations by ion exchange and solvent extraction
Photosynthesis: synthesis of and major research progress using fully deuterated chlorophyll; special pair photosynthetic reaction center and its intricacies.
Discovery of ozone-layer effects of chlorofluorcarbons.
Revolutionized understanding of coal structures.
Laser-based diagnostics of combustion chemistry and physics.
Major contributions on metal cluster behavior.
There is another accomplishment, made not in any laboratory. DOE's Division of Chemical Sciences made it possible for the National Research Council's (NRC's) Committee on Chemical Sciences (now the Board on Chemical Sciences and Technology) come into existence. It functioned for its first two years with support from only DOE, until other agencies joined in. Ably guided by Bill Spindel, it served as an improved force for chemical interests in the NRC. Among the Board's stellar studies is the highly respected Pimentel Report. For the record, although titles changed during the several reorganizations, the heads of the basic research programs in chemistry at AEC-ERDA-DOE were:
Spofford G. English 1947-1958
Daniel R. Miller 1958-1961
Alexander R. Van Dyken 1961-1973
Elliot S. Pierce 1973-1986
Robert Marianelli 1986-1998
Select to view current staff of The Chemical Sciences, Geosciences, and Biosciences Division
DANIEL R. MILLER received his B.S. and M.S. degrees from the University of Wisconsin and his Ph.D. from the University of California at Berkeley. He then accepted an appointment as Assistant Professor of Chemistry and Nuclear Studies at Cornell University, In 1951 he joined the staff of the Atomic Energy Commissioner’s Division of Research, rising to become Assistant Director for Chemistry Programs and then Deputy Director of the Division, carrying on with corresponding duties in the successor organizations of ERDA and DOE. He retired in 1979 but as a consultant continues to assist in the administration of the DOE Small Business Innovation Research Programs. ELLIOT S. PIERCE received his B.S. M.S. and Ph.D. degrees from Yale. After a year of teaching at the University of Massachusetts and 10 years with American Cyanamid he joined the staff of the Air Force Office of Scientific Research. In 1961 he moved to the Research Division of the Atomic Energy Commission, and in 1967 became Director of the Nuclear Education and Training Division. In 1973 he became Director of the Chemical Sciences Division for AEC and its successors, the Energy Research and Development Administration and Department of Energy, serving concurrently during 1975-1979 as Director of Engineering, Mathematical and Geosciences. He retired from federal service in 1986 but remains active in the governance of the American Chemical Society.
Last Modified: September 14, 2000