SCGSR Research Highlights
2024
Henry H. Wong, University of California Los Angeles, SCGSR 2022 S2, in collaboration with Dr. Mario Podestà at Princeton Plasma Physics Laboratory (PPPL), improved the predictive capabilities of fast ion transport and losses induced by toroidal Alfvén eigenmodes (TAEs) in spherical tokamaks, by incorporating new inputs into the ORBIT-Kick reduced model. This reduced model mitigates the computational cost and complexity of simulations by leveraging prior data from other simulations or experimental measurements, simplifying calculations. The model can predict fast ion transport and losses more accurately—without relying on computationally intensive nonlinear gyrokinetic simulations—while improving upon results obtained using only ideal (Magnetohydrodynamics) MHD simulations as inputs. The support provided by the SCGSR program enabled Henry to collaborate closely with experienced plasma physicists at PPPL, contributing to significant advancements in the field.
H.H. Wong, et al. Linear gyrokinetic simulations of toroidal Alfvén eigenmodes in the Mega-Amp Spherical Tokamak. Phys. Plasmas 2024, 31, 112508 https://doi.org/10.1063/5.0238302
Robert Underwood, Clemson University, SCGSR 2018 S2 (ASCR, ANL) in collaboration with Dr. Franck Cappello and Dr. Sheng Di at Argonne National Laboratory developed LibPressio a software library that allows using over 50 lossless and lossy data compressors with a single consistent interface allowing applications and compressors to develop independently. Scientific instruments, observations and simulations produce extremely large volumes of information that is difficult to move between facilities and to store. LibPressio makes it easier to adopt compression to address these challenges with confidence in the preservation of scientific integrity of analysis done on the data. LibPressio today is has over 275 unique monthly clones on GitHub and is used at over 17 institutions worldwide including Department of Energy laboratories, Universities, and International Supercomputing Centers.
R. Underwood, et al, "Productive and Performant Generic Lossy Data Compression with LibPressio," 2021 7th International Workshop on Data Analysis and Reduction for Big Scientific Data (DRBSD-7) doi: https://doi.org/10.1109/DRBSD754563.2021.00005.
Daniel Staros, Brown University, SCGSR 2021 S1 (ASCR, BES, HEP, NP - Microelectronics), in collaboration with Dr. Panchapakesan Ganesh at Oak Ridge National Laboratory, predicted a new type of atomically-thin spin filter by performing quantum mechanical calculations of a topological monolayer (WTe2) half covered by a ferromagnetic monolayer (CrI3), wherein it was demonstrated that the presence of CrI3 polarizes edge conductance at the spin filter step edge. Importantly, this work provides a new scheme for generating resistance-free spin current in ultrathin, post-Moore's law nanoelectronic devices without the need for external fields or additional magnetic components. The support provided by the SCGSR program allowed Daniel to work closely with Nanomaterials Theory Institute scientists and to take advantage of the Oak Ridge Leadership Computing Facility. Staros, D. et al. npj Spintronics 2024, 2, 4. https://doi.org/10.1038/s44306-023-00007-y 2023
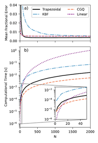
Evan Leppink Massachusetts Institute of Technology SCGSR 2021 S2 (FES) and collaborators developed a new technique to evaluate the Abel inversion integral for the problem of O-mode plasma reflectometry. This technique uses Chebyshev-Gauss quadrature and is shown to be more computationally efficient compared to existing methods while maintaining accuracy. The SCGSR program allowed Evan hands-on access to the high-field side O-mode reflectometry system on the DIII-D tokamak of the National Fusion Facility at General Atomics, which inspired this technique.
Leppink, E. et al AIP Rev. Sci. Instr. 2023, 94, 063506
https://doi.org/10.1063/5.0132246

Michael Woodward, University of Arizona, SCGSR 2020 S2 (ASCR) in collaboration with Dr. Daniel Livescu of Los Alamos National Laboratory developed a novel approach constructing a hierarchy of learnable and parameterized physics-based models for turbulence, embedding neural networks within Smoothed Particle Hydrodynamics (SPH). By training these models on high fidelity turbulence data sets and comparing their generalizability, they demonstrated the effectiveness of SPH-informed models at predicting statistical and field-based quantities of turbulent flows across a range of resolutions, time scales, and turbulent Mach numbers. This work demonstrates that blending centuries of physical knowledge with modern machine learning (ML) and artificial intelligence (AI) may help to achieve the best of both worlds; namely, the generalizability and interpretability of physical models with the accuracy and performance of ML. The SCGSR award not only played a significant role in supporting this work, but provided the opportunity to establish connections with the high quality resources available at LANL.
Woodward, M. et al. Phys. Rev. Fluids 2023, 8, 054602
https://doi.org/10.1103/PhysRevFluids.8.05460
Douglas Wong, Indiana University at Bloomington, SCGSR 2020 S1 (NP) conducted in collaboration with Dr. Takeyasu Ito at Los Alamos National Laboratory the characterization of the facility’s new ultracold neutron (UCN) beamline, including studies of UCN transport and storage, and developed an analytical model to parametrize the input energy spectrum. Importantly, the UCN beam enables the search for the neutron electric dipole moment (nEDM), which is a sensitive probe of new sources of time reversal symmetry violation and gives clues to the puzzle of matter-antimatter asymmetry in the universe. The SCGSR program allowed Douglas to participate in the efforts towards the commissioning of the nEDM experiment.
Wong, D.K.-T. et al. Nuclear Instr. Methods Phys. Res. A 2023, 1050, 168105
https://doi.org/10.1016/j.nima.2023.168105
Tyler Quill, Stanford University, SCGSR 2021 S1 (BES) investigated in collaboration with Dr. Christopher Takacs at the Stanford Synchrotron Radiation Lightsource (SLAC National Accelerator Laboratory) the formation and structure of a polymer semiconductor/ionic-liquid nanocomposite which exhibits room-temperature mixed conduction. They developed operando X-ray scattering capabilities which allowed them to track the dynamic structural changes which occur in these materials upon electrochemical charging. These results provide fundamental insights into mixed ion-electron transport in organic semiconductors, as well as suggesting a pathway towards future improvements in these nanocomposites. The SCGSR program enabled the close collaboration with national laboratory scientists for the rapid development of bespoke operando methods.
Quill, T.J., et al. Nat. Mater. 2023
https://doi.org/10.1038/s41563-023-01476-6
Jeremy Lilly, Oregon State University, SCGSR 2021 S1 (BER) investigated in collaboration with Drs. Mark Petersen and Giacomo Capodaglio at Los Alamos National Laboratory the use of local time-stepping (LTS) schemes in the DOE ocean model MPAS-Ocean to increase computational efficiency. They modelled the storm surge around Delaware Bay during hurricane Sandy and found that a particular LTS scheme was up to 35% faster than a traditional global time-stepping without sacrificing the quality of the model solution. The SCGSR program provided access to the world class computing resources that made this work possible, and helped to foster professional connections with national laboratory experts.
Lilly, J.R. et.al. J. Adv. Model. Earth Syst. 2023, 15, e2022MS003327.
https://doi.org/10.1029/2022MS003327
2022
Tyler Chang, Virginia Polytechnic Institute, SCGSR 2018 S2 (ASCR) developed in collaboration with Dr. Jeffrey Larson at Argonne National Laboratory a numerical software (VTMOP) for solving optimization problems involving multiple simulation-based objectives that typically require many expensive or time-consuming computer simulations. Their solution uses machine learning techniques to fit simplified models of the simulation outputs, thus reducing the need for computing resources.
In addition to funding the core development of this software, the SCGSR program enabled them to integrate this solver with one of Argonne's existing computer simulation libraries and apply it to design a real-world particle accelerator at SLAC.
Chang, T. et al. ACM Trans. Math. Software 2022, 48, 36
https://doi.org/10.1145/3529258

Meghan Blumstein, Harvard University, SCGSR 2017 S1 (BER) investigated in collaboration with Dr. David Weston at Oak Ridge National Laboratory the tradeoffs that plants make when “deciding” how to use their finite carbon resources. These tradeoffs are influenced by the environment: under favorable conditions, plants can allocate more carbon to competitive traits, while under stress they allocate more to survival. The SCGSR award enabled them to show for the first time that a tradeoff between competitive growth and conservative carbon storage exists in trees, indicating that trees may “bet-hedge” and store more of their carbon if they live in stressful environments. Furthermore, this tradeoff strategy can be passed onto offspring and can thus evolve, a critical distinction in the face of selection from global change.
Blumstein, M. et al. New Phytol. 2022, 235, 2211
https://doi.org/10.1111/nph.18213
Raúl Herrera, University of California San Diego, SCGSR 2017 S1 (NP) numerically investigated in collaboration with Dr. Wick Haxton at Lawrence Berkeley National Laboratory how the Brink-Axel Hypothesis for Gamow-Teller transitions of certain iron peak nuclei of astrophysical interest, can be modified to provide a more accurate application. The original Brink-Axel hypothesis states that the transition strength function from an initial nuclear state to a set of final states, is similar to that of the ground state. The research conducted in the SCGSR project enabled the development of an energy-localized formulation that holds more generally, as exemplified by comparing the calculations of a stellar electron capture rate using this modified hypothesis versus previous reports.
Herrera, R. et al. Phys. Rev. C 2022, 105, 015801
https://doi.org/10.1103/PhysRevC.105.015801

Hannah Drake, Texas A&M University, SCGSR 2019 S2 (BES), developed in collaboration with Dr. Matthew Ryder at Oak Ridge National Laboratory methodologies for enhancing the working capacity of gas storage materials through structural modification and incorporation of stimuli responsive components. Their investigations utilized gas sorption studies and vibrational lattice dynamics to describe two mechanisms of enhancing gas storage and working capacity performance in porous solids. The SCGSR program helped to establish and foster connections with national laboratory scientists as well as enabled access to beamlines within the national laboratory system that led to important discoveries for the work.
Drake, H. et al. ACS Appl. Mater. Interfaces 2022, 14, 11192, Mater. Adv. 2021, 2, 5487, Cell Rep. Phys. Sci. 2022, 3, 101074, Trends Chem. 2022, 4, 32
https://doi.org/10.1021/acsami.1c18266, https://doi.org/10.1039/D1MA00163A, https://doi.org/10.1016/j.xcrp.2022.101074, https://doi.org/10.1016/j.trechm.2021.11.003
Saran Pidaparthy, University of Illinois at Urbana-Champaign, SCGSR 2019 S2 (BES), investigated in collaboration with Dr. Daniel Abraham at Argonne National Laboratory the nature of lithium-ion battery electrode degradation using a multi-length scale characterization approach with an emphasis on advanced electron imaging and diffraction methods. Their research efforts have focused on materials evolution in graphite anodes, silicon anodes, and oxide cathodes. In their study on high-energy density silicon anodes, their discovery shows that while the silicon material closer to the separator reacts aggressively, the anode material closer to the current collector evidently does not participate in the electrochemical reaction and remains in a pristine state. The SCGSR award helped in the discovery of inhomogeneities (spanning the macro- to atomic-scales), which have major consequences as different portions of the anode age differently, increasing cell-to-cell variability and making it difficult to predict and guarantee cell and battery life.
Pidaparthy, S. et al. ACS Appl. Mater. Interfaces 2022, 14, 38660–38668
https://doi.org/10.1021/acsami.2c06991